М
Молодежь
К
Компьютеры-и-электроника
Д
Дом-и-сад
С
Стиль-и-уход-за-собой
П
Праздники-и-традиции
Т
Транспорт
П
Путешествия
С
Семейная-жизнь
Ф
Философия-и-религия
Б
Без категории
М
Мир-работы
Х
Хобби-и-рукоделие
И
Искусство-и-развлечения
В
Взаимоотношения
З
Здоровье
К
Кулинария-и-гостеприимство
Ф
Финансы-и-бизнес
П
Питомцы-и-животные
О
Образование
О
Образование-и-коммуникации

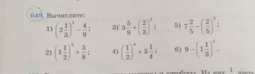
649. Вычислите: 2 2 2 2 1 1) 2 3 4. 9 5 3 + 9 3. 5 5 ( (15) зу за). 5) 72 () " (+34 69-(19) 2 3 2) 5 + 8 Фот


649. Вычислите: 2 2 2 2 1 1) 2 3 4. 9 5 3 + 9 3. 5 5 ( (15) зу за). 5) 72 () (+34 69-(19) 2 3 2) 5

👇
Открыть все ответы
Ответ:
Mary17ice
Mary17ice
13.10.2021

Периметр прямоугольного треугольника равен 60 см. Высота, проведенная к гипотенузе, равна 12 см. Найти площадь треугольника. 

                * * *

Площадь треугольника равна произведению радиуса r вписанной окружности на полупериметр р

Формула радиуса вписанной в прямоугольный треугольник окружности 

r=(a+b-c):2 , где а и b -  катеты,  c -гипотенуза. 

a+b=P-с=60-c 

r=(60-c-c):2=30-c

По другой формуле

r=S:p

S=h*c:2

S=12*c:2=6c

р=60:2=30

r=6c/30=c/5

Приравняем найденные значения радиуса

c/5=30-c

150-5c=c

6c=150

c=25 см

r=25/5=5 см

S=r*p=5*30=150 см²


Периметр прямокутного трикутника дорівнює 60 см.висота проведена до гіпотенузи дорівнює 12 см.знайді
4,5(94 оценок)
Ответ:
ніка65
ніка65
13.10.2021
Дедушка отправился в нужное время, и если бы поезд пришел вовремя, то дедушка приехал бы как раз к поезду.
Но поезд пришел на х мин раньше.
Вася пешком 30 минут и встретил дедушку.
И они вернулись на 20 мин раньше.
Эти 20 мин дедушка должен был потратить на то, чтобы проехать от места встречи и обратно, то есть 10 мин в один конец.
А Вася потратил 30 мин на то, чтобы дойти до места встречи.
Значит, скорость Васи в 3 раза меньше скорости машины.
Поезд прибыл раньше на x = 30 + 10 = 40 минут.
30 мин, которые шел Вася и 10 мин, за которые приехал бы дедушка.
4,8(51 оценок)
Это интересно:
Новые ответы от MOGZ: Математика
logo
Вход Регистрация
Что ты хочешь узнать?
Спроси Mozg
Открыть лучший ответ