М
Молодежь
К
Компьютеры-и-электроника
Д
Дом-и-сад
С
Стиль-и-уход-за-собой
П
Праздники-и-традиции
Т
Транспорт
П
Путешествия
С
Семейная-жизнь
Ф
Философия-и-религия
Б
Без категории
М
Мир-работы
Х
Хобби-и-рукоделие
И
Искусство-и-развлечения
В
Взаимоотношения
З
Здоровье
К
Кулинария-и-гостеприимство
Ф
Финансы-и-бизнес
П
Питомцы-и-животные
О
Образование
О
Образование-и-коммуникации
Sagi511
Sagi511
26.05.2023 06:01 •  Математика

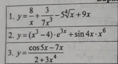
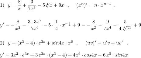
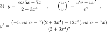
Необходимо найти производную каждой функции (1, 2 и 3). В ответе должен быть полный разбор!- это важно.


Необходимо найти производную каждой функции (1, 2 и 3). В ответе должен быть полный разбор!- это важ

👇
Ответ:
sok2710
sok2710
26.05.2023

1)\ \ y=\dfrac{8}{x}+\dfrac{3}{7x^3}-5\sqrt[4]{x}+9x\ \ ,\ \ \ \ (x^{n})'=n\cdot x^{n-1}\ ,\\\\\\y'=-\dfrac{8}{x^2}-\dfrac{3\cdot 3x^2}{7x^6}-5\cdot \dfrac{1}{4}\cdot x^{-\frac{3}{4}}+9=-\dfrac{8}{x^2}-\dfrac{9}{7x^4}-\dfrac{5}{4\, \sqrt[4]x{^3}}+9\\\\\\2)\ \ y=(x^3-4)\cdot e^{3x}+sin4x\cdot x^6\ \ ,\ \ \ \ (uv)'=u'v+uv'\ \ ,\\\\y'=3x^2\cdot e^{3x}+3\, e^{3x}\cdot (x^3-4)+4x^6\cdot cos4x+6\, x^5\cdot sin4x

3)\ \ y=\dfrac{cos5x-7x}{2+3x^4}\ \ \ ,\ \ \ \ \ \Big(\dfrac{u}{v}\Big)'=\dfrac{u'v-uv'}{v^2}\ \ ,\\\\\\y'=\dfrac{(-5\, cos5x-7)(2+3x^4)-12x^3(cos5x-7x)}{(2+3x^4)^2}

4,5(34 оценок)
Открыть все ответы
Ответ:
echo2
echo2
26.05.2023
Самому влом посмотреть? : -) центральный банк российской федерации установил с 21 ноября 2006 года следующие курсы иностранных валют к российскому рублю для целей учета и таможенных платежей. курсы установлены без обязательств банка россии покупать или продавать указанные валюты по данному курсу. 1 австралийский доллар — 20, 4730 1000 рублей — 12, 4422 10 датских крон — 45, 8657 1 евро — 34, 1900 100 исландских крон — 37, 9436 100 казахских тенге — 20, 8148 1 канадский доллар — 23, 2726 10 китайских юаней ренминби — 33, 8546 10 норвежских крон — 41, 2930 1 сингапурский доллар — 17, 0968 1 фунт стерлингов соединенного королевства — 50, 4885 1 доллар сша — 26, 6402 1 новая турецкая лира — 18, 3220 10 украинских гривен — 52, 5147 10 шведских крон — 37, 6529 1 швейцарский франк — 21, 4339 100 японских йен — 22, 6013
4,8(56 оценок)
Ответ:
fcnhff7
fcnhff7
26.05.2023
Логическое решение:
Последним, кто отдавал яблоки,перед тем как у всех стало по 18 яблок,был Петя, который отдал 1/3 , т.е у него осталось 1-1/3=2/3 это 18 яблок, значит Коле он отдал 1/3 это 9 яблок.
Чтобы у Коли  в конце получилось 18 яблок, у него после того как он отдал 1/4 должно остаться 18-9=9 яблок.1-1/4=3/4 это 9 яблок, значит : 9÷3/4=12 яблок было у Коли первоначально.
12×1/4=3 яблока Коля отдал Васе, и у Васи стало 18÷1/2=36 яблок, значит 36-3=33 яблока было у Васи первоначально.
54-12-33=9 яблок было у Пети первоначально.
ответ: Первоначально было:12 яблок у Коли; 33 яблока у Васи; 9 яблок у Пети.
4,4(89 оценок)
Это интересно:
Новые ответы от MOGZ: Математика
logo
Вход Регистрация
Что ты хочешь узнать?
Спроси Mozg
Открыть лучший ответ