М
Молодежь
К
Компьютеры-и-электроника
Д
Дом-и-сад
С
Стиль-и-уход-за-собой
П
Праздники-и-традиции
Т
Транспорт
П
Путешествия
С
Семейная-жизнь
Ф
Философия-и-религия
Б
Без категории
М
Мир-работы
Х
Хобби-и-рукоделие
И
Искусство-и-развлечения
В
Взаимоотношения
З
Здоровье
К
Кулинария-и-гостеприимство
Ф
Финансы-и-бизнес
П
Питомцы-и-животные
О
Образование
О
Образование-и-коммуникации
Sdhinkj
Sdhinkj
29.12.2021 23:36 •  Математика

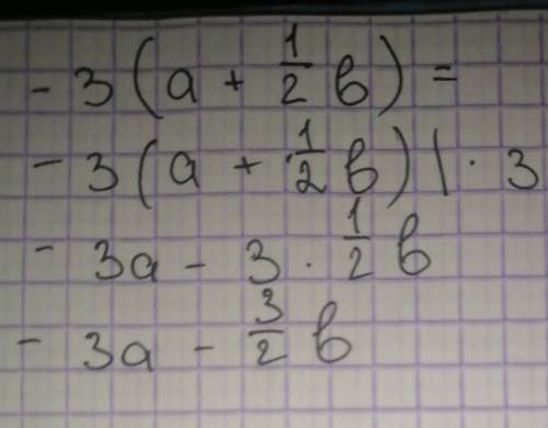
Раскройте скобки -3 (а+1/2в)=

👇
Ответ:
help273
help273
29.12.2021

приложила подробное решение в фото.


Раскройте скобки -3 (а+1/2в)=
4,6(96 оценок)
Ответ:
ElenaOlegovna26
ElenaOlegovna26
29.12.2021

Пошаговое объяснение:

-3(а + 1/2в) = -3а - 3/2в =

-3а - 1. 1/2в

4,6(54 оценок)
Открыть все ответы
Ответ:
Про228ooo
Про228ooo
29.12.2021
1) 20 + 15 = 35 (д) - на столько деревьев больше посадили на 1-й и 3-й аллеях чем на 2-й
2) 80 - 35 = 45 (д) - столько деревьев было бы на всех трех аллеях, если бы на каждой посадили одно и то же количество деревьев
3) 45 : 3 = 15 (д) - столько деревьев посадили на 2-й аллее
4) 15 + 20 = 35 (д) - столько деревьев посадили на 1-й аллее
5) 15 + 15 = 30 (д) - столько деревьев посадили на 3-й аллее

Либо можно решить через х

Пусть х- вторая аллея
То первая будет х+20 , а третья х+15. Составим уравнение:
Х+20+х+х+15=80
3х+35=80 ( сократили)
3х=80-35=45
Х=45:3=15. - на второй аллее 
15+20=35- на первой
15+15=30 - на третьей
4,7(50 оценок)
Ответ:
asyavish15oy8la6
asyavish15oy8la6
29.12.2021
1) 20 + 15 = 35 (д) - на столько деревьев больше посадили на 1-й и 3-й аллеях чем на 2-й
2) 80 - 35 = 45 (д) - столько деревьев было бы на всех трех аллеях, если бы на каждой посадили одно и то же количество деревьев
3) 45 : 3 = 15 (д) - столько деревьев посадили на 2-й аллее
4) 15 + 20 = 35 (д) - столько деревьев посадили на 1-й аллее
5) 15 + 15 = 30 (д) - столько деревьев посадили на 3-й аллее

Либо можно решить через х

Пусть х- вторая аллея
То первая будет х+20 , а третья х+15. Составим уравнение:
Х+20+х+х+15=80
3х+35=80 ( сократили)
3х=80-35=45
Х=45:3=15. - на второй аллее 
15+20=35- на первой
15+15=30 - на третьей
4,5(10 оценок)
Это интересно:
Новые ответы от MOGZ: Математика
logo
Вход Регистрация
Что ты хочешь узнать?
Спроси Mozg
Открыть лучший ответ