М
Молодежь
К
Компьютеры-и-электроника
Д
Дом-и-сад
С
Стиль-и-уход-за-собой
П
Праздники-и-традиции
Т
Транспорт
П
Путешествия
С
Семейная-жизнь
Ф
Философия-и-религия
Б
Без категории
М
Мир-работы
Х
Хобби-и-рукоделие
И
Искусство-и-развлечения
В
Взаимоотношения
З
Здоровье
К
Кулинария-и-гостеприимство
Ф
Финансы-и-бизнес
П
Питомцы-и-животные
О
Образование
О
Образование-и-коммуникации
alinkachehovska
alinkachehovska
28.03.2020 13:47 •  Математика

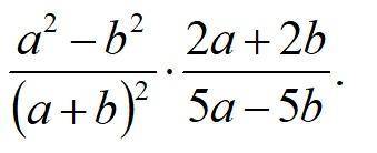
Выполните умножение дробей:
это варианты ответов:
2,5

0,4

1

-1


Выполните умножение дробей:это варианты ответов:2,50,41-1

👇
Ответ:
Jinx2002
Jinx2002
28.03.2020

Пошаговое объяснение:

(а²-b²)/(a+b)² * (2a+2b)/(5a-5b) =

(a-b)(a+b)/(a+b)² * 2(a+b)/5(a-b) =

1/a+b * 2(a+b)/5 =

1 * 2/5 = 2/5 = 0,4

ответ: 0,4

4,4(3 оценок)
Открыть все ответы
Ответ:
nastya123litvin
nastya123litvin
28.03.2020
сегодня то есть 18 апреля у меня день рождения я его уже отпраздновал Он был очень веселый я познал много своих друзей Катю Ваню Машу Лизу Сначала мы пошли в кино она в первом мстителе Противостояние Мне очень понравилось фильм он был очень интересный потом мы поехали ко мне домой родители заказали большой торт Мы ели картошку фри курицу в кляре и пельмени Зачем Мы поели торт и поиграли в разные подвижные игры на тему мои друзья ушли но они мне подарили очень много разных подарков на этом и закончился мой день рождения
4,7(92 оценок)
Ответ:
Харпааа
Харпааа
28.03.2020
Справочник - Природоведение
Когда солнце нагревает поверхность рек, озёр и морей, часть воды испаряется и поднимается вверх. Сначала эти капельки такие маленькие, что их нельзя разглядеть. Потом они собираются в облака и становятся видимыми.
Если облака опускаются низко над землёй, они становятся туманом.
Чаще всего туманы бывают там, где много влаги — над рекой или в низинах. Обычно туманы появляются утром или вечером, когда земля остывает. Но стоит пригреть солнышку — утренний туман рассеивается. Это не значит, что он исчезает: просто он снова превращается в пар и поднимается вверх. А что происходит с вечерним туманом? Капельки воды, из которых состоит туман, опускаются на землю, прикасаются к предметам, листьям, траве и превращаются в росу. Конечно, ты видел её не раз после ясных холодных ночей. Роса, как тысячи рассыпавшихся бриллиантов, сверкает на солнце радужными искорками.
А если холодно и температура воздуха ниже нуля, капельки влаги ложатся на землю маленькими кристалликами льда — инеем. Так путешествует лишь часть капелек. А что происходит с другими?
4,6(52 оценок)
Новые ответы от MOGZ: Математика
logo
Вход Регистрация
Что ты хочешь узнать?
Спроси Mozg
Открыть лучший ответ