М
Молодежь
К
Компьютеры-и-электроника
Д
Дом-и-сад
С
Стиль-и-уход-за-собой
П
Праздники-и-традиции
Т
Транспорт
П
Путешествия
С
Семейная-жизнь
Ф
Философия-и-религия
Б
Без категории
М
Мир-работы
Х
Хобби-и-рукоделие
И
Искусство-и-развлечения
В
Взаимоотношения
З
Здоровье
К
Кулинария-и-гостеприимство
Ф
Финансы-и-бизнес
П
Питомцы-и-животные
О
Образование
О
Образование-и-коммуникации
Andrey5454
Andrey5454
15.02.2022 08:43 •  Математика

Найти длину медианы AM ABC с координатами вершин A(1;-3) ,B(3;6)),C(-5;2)

👇
Ответ:
Женя11134
Женя11134
15.02.2022

Пошаговое объяснение:

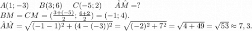
A(1;-3)\ \ \ \ B(3;6)\ \ \ \ C(-5;2)\ \ \ \ \ \^A\^M=?\\BM=CM=(\frac{3+(-5)}{2};\frac{6+2}{2})=(-1;4). \\\^A\^M=\sqrt{(-1-1)^2+(4-(-3))^2} =\sqrt{(-2)^2+7^2}=\sqrt{4+49}=\sqrt{53}\approx7,3.

4,7(58 оценок)
Ответ:
ТаняВолк15
ТаняВолк15
15.02.2022

Пошаговое объяснение:


Найти длину медианы AM ABC с координатами вершин A(1;-3) ,B(3;6)),C(-5;2)
4,5(63 оценок)
Открыть все ответы
Ответ:

Два пешехода в 9 ч 20 мин вышли из одного пункта в провотиположных направлениях. скорость одного пешехода 4 км/ч, скорость другого в 1,5 раза больше. чезез какое время между будет расстояние 15 км)

Уважаемый решения на следующие 2 во надо найти сумму всех целых чисел от: 1) -70 до 50 2) -150 до 70 заранее .

Если автомобиль из пункта а выедет со скоростью 50 км/ч то он прибудет в пункт в в назначенное время. если автомобиль увеличит скорость на 10 км/ч то он прибудет в пункт в на 1ч раньше назначенного времени. найдите расстояние

между пунктами

Ширина прямоугольника 3 см, длина 6 см. он разбит на квадраты со стороной 1 см. сколько получилось квадратов? чему равна площадь этого прямоугольника в квадратных сантиметрах?).

4,8(93 оценок)
Ответ:
LollyOgry
LollyOgry
15.02.2022
27*26=622            35*32=1120                1120-622=520              или                    27-26=1                  35-32=3                      3-1=2              
4,7(40 оценок)
Новые ответы от MOGZ: Математика
logo
Вход Регистрация
Что ты хочешь узнать?
Спроси Mozg
Открыть лучший ответ