М
Молодежь
К
Компьютеры-и-электроника
Д
Дом-и-сад
С
Стиль-и-уход-за-собой
П
Праздники-и-традиции
Т
Транспорт
П
Путешествия
С
Семейная-жизнь
Ф
Философия-и-религия
Б
Без категории
М
Мир-работы
Х
Хобби-и-рукоделие
И
Искусство-и-развлечения
В
Взаимоотношения
З
Здоровье
К
Кулинария-и-гостеприимство
Ф
Финансы-и-бизнес
П
Питомцы-и-животные
О
Образование
О
Образование-и-коммуникации
Anilecchi
Anilecchi
26.01.2021 13:23 •  Математика

Arcosx=arctgx найти корень уравнения

👇
Ответ:
МарияТуз
МарияТуз
26.01.2021

\sqrt{\frac{\sqrt{5}-1}{2}}

Пошаговое объяснение:

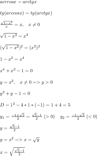
acrrosx=arctgx\\\\tg(arccosx)=tg(arctgx)\\\\\frac{\sqrt{1-x^2}}{x}=x,\; \; \; x\neq 0\\\\\sqrt{1-x^2}=x^2\\\\(\sqrt{1-x^2})^2=(x^2)^2\\\\1-x^2=x^4\\\\x^4+x^2-1=0\\\\y=x^2,\; \; \; x\neq 0=y0\\\\y^2+y-1=0\\\\D=1^2-4*1*(-1)=1+4=5\\\\y_1=\frac{-1+\sqrt{5}}{2}=\frac{\sqrt{5}-1}{2} \; (0)\; \; \; \; y_2=\frac{-1-\sqrt{5}}{2}\; (x=\sqrt{y}\\\\x=\sqrt{\frac{\sqrt{5}-1}{2}}

**********************************************

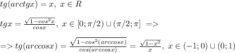
tg(arctgx)=x,\; x\in R\\\\tgx=\frac{\sqrt{1-cos^2x}}{cosx},\; x\in[0;\pi/2)\cup (\pi/2;\pi]\; = \\\\=tg(arccosx)=\frac{\sqrt{1-cos^2(arccosx)}}{cos(arccosx)}= \frac{\sqrt{1-x^2}}{x},\; x\in(-1;0)\cup (0;1)

4,4(13 оценок)
Открыть все ответы
Ответ:
kopilge
kopilge
26.01.2021
Число, которое загадал Вася - 24.
Пойдем методом подбора.
Возьмем число 7. 7*13 = 91
Зачеркиваем последнюю цифру. Остается 9.
Теперь 9*7 = 63. Зачеркиваем последнюю цифру. Остается 6. Не подходит.
Берем, например, число 13. 13*13=169. Зачеркиваем последнюю цифру.
Остается 16. 16*7=112. Зачеркиваем последнюю цифру. Получается 11. Не подходит.
Теперь возьмем число 23. 23*13 = 299. Зачеркиваем последнюю цифру. Остается 29, 29*7 = 203. Зачеркиваем еще раз последнюю цифру получается 20. Не подходит, но уже близко к нашему ответу.
Возьмем число 24. 24*13=312. Зачеркивает последнюю цифру, остается 31. 31*7=217. Зачеркиваем последнюю цифру. У нас получается ответ 21. Значит искомое число, которое загадал Вася: 24.
4,7(66 оценок)
Ответ:
lisyono525
lisyono525
26.01.2021
10.2х-7.4х=2-0.88                                                                                                                          2.8х=1.12                                                                                                                                    х=1.12:2.8                                                                                                                                    х=0.4                                                                                                                                            10.2*0.4-7.4*0.4+0.88=2
4,6(36 оценок)
Это интересно:
Новые ответы от MOGZ: Математика
logo
Вход Регистрация
Что ты хочешь узнать?
Спроси Mozg
Открыть лучший ответ