М
Молодежь
К
Компьютеры-и-электроника
Д
Дом-и-сад
С
Стиль-и-уход-за-собой
П
Праздники-и-традиции
Т
Транспорт
П
Путешествия
С
Семейная-жизнь
Ф
Философия-и-религия
Б
Без категории
М
Мир-работы
Х
Хобби-и-рукоделие
И
Искусство-и-развлечения
В
Взаимоотношения
З
Здоровье
К
Кулинария-и-гостеприимство
Ф
Финансы-и-бизнес
П
Питомцы-и-животные
О
Образование
О
Образование-и-коммуникации
goida82
goida82
05.08.2021 09:45 •  Математика

Решить уравнение 2,2 X - 5,16 = 1/4

👇
Ответ:
Рюзаки1
Рюзаки1
05.08.2021

на фото

Пошаговое объяснение:

к сожалению дробь несократима


Решить уравнение 2,2 X - 5,16 = 1/4
4,5(8 оценок)
Ответ:
соня177
соня177
05.08.2021

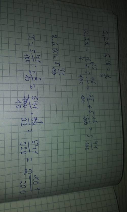
2,2x-5,16=\frac{1}{4}

Переведем 1/4 в десятичную дробь.

Чтобы перевести обыкновенную дробь в десятичную, надо числитель разделить на знаменатель.

\frac{1}{4}=1:4=0,25

Далее известные числа в одну сторону, а неизвестные в другую.

2,2x=0,25+5,16\\2,2x=5,41\\x=5,41:(2,20)=541:220=\frac{541}{220} =2\frac{101}{220} \\x=2\frac{101}{220}

Пошаговое объяснение:

4,5(100 оценок)
Открыть все ответы
Ответ:
Для того чтобы найти сумму длин всех ребер параллелепипеда, нам необходимо знать значения всех его измерений.

В данном случае, измерения параллелепипеда равны 15см, 8см и 7см.

С параллелепипедом связаны три оси: длина (Л), ширина (Ш) и высота (В).

Длина параллелепипеда (Л) равна 15см, ширина (Ш) - 8см, а высота (В) - 7см.

Ребро, параллельное оси Л, имеет длину В и Ш: 7см и 8см. Ребро, параллельное оси Ш, имеет длину Л и В: 15см и 7см. Ребро, параллельное оси В, имеет длину Л и Ш: 15см и 8см.

Таким образом, сумма длин всех ребер параллелепипеда равна:
2(Л + Ш) + 2(Л + В) + 2(Ш + В),

где Л, Ш и В - значения длины, ширины и высоты параллелепипеда соответственно.

Подставляя в данное выражение значения измерений данного параллелепипеда, получим:
2(15см + 8см) + 2(15см + 7см) + 2(8см + 7см).

Выполняя арифметические операции, получим окончательный ответ:

2(23см) + 2(22см) + 2(15см) = 46см + 44см + 30см = 120см.

Таким образом, сумма длин всех ребер данного параллелепипеда равна 120см.
4,8(96 оценок)
Ответ:
perevuznik1
perevuznik1
05.08.2021
Вопрос, который ты задал, связан с наследованием гемофилии - генетическим нарушением свертываемости крови. Гемофилия обусловлена изменением в гене, который кодирует фактор свертываемости крови. Она передается через рецессивный ген, то есть человек должен получить наследственный материал с этим геном от обоих родителей, чтобы проявилась гемофилия.

Теперь, перейдем к вопросу ожидания ребенка с гемофилией в браке, где один из родителей является гемофиликом, а другой здоровым.

Если мужчина здоров и не является гемофиликом, значит он не имеет генетической мутации в гене, отвечающем за гемофилию. Женщина, имеющая брата-гемофилика, носит в своем генетическом материале ген для гемофилии, но сама не проявляет это нарушение.

У женщины, являющейся носителем гемофилии, есть 50% вероятность передать ген с гемофилией каждому из своих потомков, мужчинам или женщинам. Если женщина-носитель гемофилии решает иметь ребенка с мужчиной без гемофилии, существует вероятность того, что ребенок унаследует ген для гемофилии.

Тогда, какова вероятность рождения ребенка с гемофилией в этом браке?

Для ответа на этот вопрос, мы можем использовать рассуждение по Мендельской генетике. Поскольку ген для гемофилии является рецессивным, ребенок получит гемофилию только в случае, если оба его родителя являются либо гемофиликами, либо носителями гемофилии.

Таким образом, вероятность родить ребенка с гемофилией в этом браке зависит от генотипа родителей. Если генотип женщины-носительницы гемофилии обозначим как "X^h X", где X^h - ген для гемофилии, а X - нормальный ген, то генотип мужчины партнера обозначим как "X X". В этом случае мы можем составить таблицу возможных генотипов потомков:

- Мужчины: 50% шанс получить нормальный генотип "X X", 50% шанс получить генотип "X^h X" (носитель гемофилии).
- Женщины: 50% шанс получить нормальный генотип "X X", 50% шанс получить генотип "X^h X" (носитель гемофилии).

Таким образом, вероятность рождения ребенка с гемофилией в этом браке составляет 25% (50% * 50%) для мужчин и 25% для женщин (50% * 50%).

В заключение, в браке, где женщина является носителем гемофилии, а мужчина здоров, существует вероятность рождения ребенка с гемофилией составляющая 25% для мужчин и 25% для женщин. Однако, стоит отметить, что каждая ситуация индивидуальна, и это всего лишь вероятность, а не гарантия.
4,7(34 оценок)
Это интересно:
Новые ответы от MOGZ: Математика
logo
Вход Регистрация
Что ты хочешь узнать?
Спроси Mozg
Открыть лучший ответ