
Пошаговое объяснение:
№2 . 1) arcsin(- √2/2) + 3π/4= - arcsin(√2/2)+ 3π/4 = - π/4 +3π/4 = 2π/4=π/2;
2) arccos1/2 - π/6 = π/3 - π/6 = π/6 ;
3) arctg1/√3 + 5π/6 = π/6 + 5π/6 = 6π/6 = π ;
4) 4arcctg√3 - 2π/3 = 4* π/6 - 2π/3 = 0 ;
5) arctg(- √3 ) + 4π/3 = - arctg√3 + 4π/3 = - π/3 + 4π/3 = 3π/3 = π ;
6) arcsin(- 1 ) + π/2 = - arcsin 1 + π/2 = - π/2 + π/2 = 0 ;
7) arccos( - √3/2 ) + 7π/6 = π - arccos( √3/2 ) + 7π/6 = π - π/6 + 7π/6 =
= 5π/6 + 7π/6 = 12π/6 = 2π ;
8) arcctg(- 1 ) + π/4 = π - arcctg1 + π/4 = π - π/4 + π/4 = π .
- разница между временем выполнения теста Юры и временем выполнения теста Вовы ИЛИ по условию задачи эта разница равна
часа (т. к. x - своеобразный весь путь (
), который необходимо пройти ребятам с различными скоростями).
(приводим дроби в левой части уравнения к общему знаменателю).
(вычитаем две дроби с одинаковыми знаменателями).
(сокращаем дробь).
(решаем пропорцию).
(решаем простейшее линейное уравнение).
Пошаговое объяснение:
решение внизу
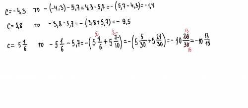
в данное выражение вместо С подставляем его значение