

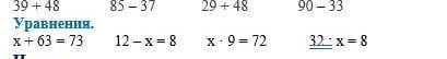
ответ: Через 1 час - уходил и через 10 часов - возвращался.
Пошаговое объяснение:
а) По оси Х - t=2, S(2) = 8 км - через 2 часаб) Остановка - когда расстояние не изменяется. Находим и вычисляем время.
t2 = 7, t1 = 3
Время остановки - разность координат по оси Х - времени.
Т = 7 - 3 = 4 ч - остановка
в) Во км от дома.
Находим на оси S значение S= 4 км. Проводим горизонтальную линию параллельно оси времени. Оказалось две точки пересечения с графиком пути. Проводим вертикальные линии и находим время.
( мне немного
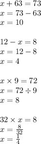
ответ: Через 1 час - уходил и через 10 часов - возвращался.
Пошаговое объяснение:
а) По оси Х - t=2, S(2) = 8 км - через 2 часаб) Остановка - когда расстояние не изменяется. Находим и вычисляем время.
t2 = 7, t1 = 3
Время остановки - разность координат по оси Х - времени.
Т = 7 - 3 = 4 ч - остановка
в) Во км от дома.
Находим на оси S значение S= 4 км. Проводим горизонтальную линию параллельно оси времени. Оказалось две точки пересечения с графиком пути. Проводим вертикальные линии и находим время.
( мне немного