
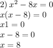
|x - 4| * (2x + 7) = 0
Приравняем к нулю оба множителя:
|x - 4| = 0
2x + 7 = 0
Решим каждый:
|x - 4| = 0
x - 4 = 0
x = 4
2x + 7 = 0
2x = -7
x = - 7 : 2
x = -3.5
ответ: -3,5; 4
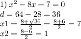
|x + 1,7| * (2x + 3) = 0
Приравняем к нулю оба множителя:
|x + 1,7| = 0
2x + 3 = 0
Решим каждый:
|x + 1,7| = 0
x + 1.7 = 0
x = -1.7
2x + 3 = 0
2x = -3
x = -3 : 2
x = -1,5
ответ: -1,5; -1,7
|5x - 8| * (x - 6) = 0
Приравняем к нулю оба множителя:
|5x - 8| = 0
x - 6 = 0
Решим каждый:
|5x - 8| = 0
5x - 8 = 0
5x = 8
x = 8 : 5
x = 1.6
x - 6 = 0
x = 6
ответ: 1,6; 6
ОГЭ
ответ: 1, 7.
ответ: 0, 8.