М
Молодежь
К
Компьютеры-и-электроника
Д
Дом-и-сад
С
Стиль-и-уход-за-собой
П
Праздники-и-традиции
Т
Транспорт
П
Путешествия
С
Семейная-жизнь
Ф
Философия-и-религия
Б
Без категории
М
Мир-работы
Х
Хобби-и-рукоделие
И
Искусство-и-развлечения
В
Взаимоотношения
З
Здоровье
К
Кулинария-и-гостеприимство
Ф
Финансы-и-бизнес
П
Питомцы-и-животные
О
Образование
О
Образование-и-коммуникации
TheBrayn
TheBrayn
14.09.2020 05:28 •  Математика

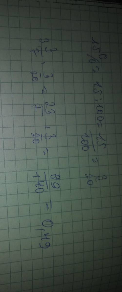
Найдите 15% от числа 3 2/7 ответ представьте в виде десятичной дроби, округлённой до сотых долей.

👇
Ответ:
Sanя7184214
Sanя7184214
14.09.2020

ответ на фото

Обьяснение:


Найдите 15% от числа 3 2/7 ответ представьте в виде десятичной дроби, округлённой до сотых долей.
4,5(38 оценок)
Открыть все ответы
Ответ:
Zzzz151
Zzzz151
14.09.2020
Ни один из них не может следить сам за собой.
Ни какие двое не могут следить друг за другом.
Пусть 001 следит за 003, тогда 003 следит за 002.
002 следит за 001, но тогда 003 следит за тем, кто следит за 001, а не за тем, кто следит за 004. Противоречие.
Пусть 001 следит за 004, тогда 004 следит за 002, 002 за 005,
005 за 003, 003 за 001 и одновременно за 006. Противоречие.
Пусть 001 следит за 005. Тогда 005 за 002, 002 за 006,
006 за 003, 003 за 007, 007 за 004, 004 за 001.
Здесь никаких противоречий нет.
ответ: 005 следит за 002.
4,7(56 оценок)
Ответ:
kuzmina9999
kuzmina9999
14.09.2020
Пусть было x вёдер воды
2/5x (две пятых икс) отлили в первый раз
x-2/5x=3/5x вёдер осталось
3/5x*1/3x=1/5x отлили во второй раз
3/5x-1/5x=2/5x осталось
2/5x=8 вёдер
x=8*5/2=20
Т.е. было 20 вёдер воды

Ну, тут объяснять-то нечего, если честно. Начальное количество вёдер мы берём за икс. Следовательно, в первый раз отлили две пятых от всего количества, т.е. две пятых икс. Далее вычислим то, сколько вёдер осталось после первой процедуры: от общего количества отнимаем две пятых, т.е. x-2/5x и получаем 3/5x. Это оставшаяся часть вёдер после первой манипуляции. Далее мы высчитываем треть от трёх пятых, т.е. от оставшегося количества: 1/3х*3/5х и получаем одну пятую икс. Это количество вёдер отлили во второй раз. Теперь от трёх пятых икс (количества вёдер, оставшихся после первого выливания) отнимем одну пятую икс и получим две пятых икс. Две пятых икс равны 8 вёдрам. Далее найдём икс: x=8:2/5=8*5/2=20
4,5(100 оценок)
Это интересно:
Новые ответы от MOGZ: Математика
logo
Вход Регистрация
Что ты хочешь узнать?
Спроси Mozg
Открыть лучший ответ