М
Молодежь
К
Компьютеры-и-электроника
Д
Дом-и-сад
С
Стиль-и-уход-за-собой
П
Праздники-и-традиции
Т
Транспорт
П
Путешествия
С
Семейная-жизнь
Ф
Философия-и-религия
Б
Без категории
М
Мир-работы
Х
Хобби-и-рукоделие
И
Искусство-и-развлечения
В
Взаимоотношения
З
Здоровье
К
Кулинария-и-гостеприимство
Ф
Финансы-и-бизнес
П
Питомцы-и-животные
О
Образование
О
Образование-и-коммуникации
nastialeon
nastialeon
14.05.2023 10:05 •  Математика

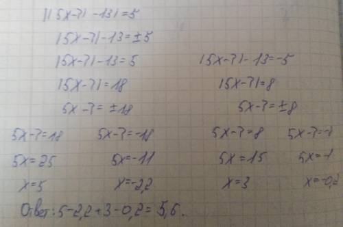
Линейное уравнение с одной переменной, содержащее переменную под знаком модуля. Урок 3 Найди сумму корней уравнения ||5x – 7| – 13| = 5 ответ: . Назад Проверить

👇
Ответ:
380931817787
380931817787
14.05.2023

,,,,,,,,,,,,,,,,,,,,,,,,,,,,


Линейное уравнение с одной переменной, содержащее переменную под знаком модуля. Урок 3 Найди сумму к
4,4(47 оценок)
Открыть все ответы
Ответ:
olgasuponeva
olgasuponeva
14.05.2023

1. Запишите ключевые словосочетания, отражающие основную инфо обоих текстов

Английский язык, дети дошкольники, школа-студия.

2. Перечислите, какие языки можно выучить, если воспользоваться данными предложениями?

Английский, китайский, немецкий, французский.

3. Существует ли возрастные ограничения для взрослых, желающих записаться на курсы изучения иностранных языков, согласно инфо обоих текстов? Объясните, почему.

Ограничения есть только в первом объявлении, так как там четко написано «детям от 3 до 8 лет», а во втором объявлении нет ограничений по возрасту.

4.Какие преимущества, согласно текстам, открываются перед людьми, знающими несколько языков?

Сдача международных экзаменов, иностранный язык, как второй родной, повышение уровня знаний.

5.Сформулируйте заголовок, отражающий тему обоих текстов

«Английский – это просто для любого возраста

4,7(81 оценок)
Ответ:
moon65
moon65
14.05.2023
1. Чем похожи и чем различаются уравнения каждой строки?

Обращаю внимание, что в вопросе не соблюдены строки и столбцы, поэтому надо быть внимательным и отследить совпадают ли строки и столбцы в задачнике с тем, что написано ниже. ответы даны для нижерасположенных уравнений:
a+258=734               b-449=483              875-c=398 
k+429=357+568       e-368=274+319       593-x=823-437
Похожи тем, что надо найти неизвестное слагаемое или уменьшаемое или вычитаемое. Различаются тем, что в уравнениях второй строки сумма или разность выражена, опять суммой или разностью, а в уравнениях первой строки сумма или разность выражены числом. 

2. Чем похожи уравнения каждого столбика?
В каждом столбике неизвестен один и тот же компонент: в первом столбике - первое слагаемое, во втором столбике - уменьшаемое, в третьем столбике - вычитаемое.

3. Найди корни уравнений первого столбика.Сколько потребовалось выполнить действий для решения каждого из них?
a+258=734                k+429=357+568     
а=734-258                 k+429=925
а= 476                      k=925-429
1 действие                k=496
                                 2 действия (сложение и вычитание)

4. Сколько потребуется выполнить действий чтобы решить каждое уравнение второго столбика?
В первом случаем одно действие, при решении второго уравнения два действия

5. Как нужно упростить уравнения второго столбика, чтобы они стали такими же, как уравнения первого? Упрости и реши уравнения.
  b-449=483              875-c=398       e-368=274+319       593-x=823-437
  b=483+449             c=875-398       e-368=593               593-x=386
  b=932                    c=477             e= 593+368              x=593-386
                                                     e=961                      x=207
                    
4,5(98 оценок)
Это интересно:
Новые ответы от MOGZ: Математика
Полный доступ к MOGZ
Живи умнее Безлимитный доступ к MOGZ Оформи подписку
logo
Вход Регистрация
Что ты хочешь узнать?
Спроси Mozg
Открыть лучший ответ