М
Молодежь
К
Компьютеры-и-электроника
Д
Дом-и-сад
С
Стиль-и-уход-за-собой
П
Праздники-и-традиции
Т
Транспорт
П
Путешествия
С
Семейная-жизнь
Ф
Философия-и-религия
Б
Без категории
М
Мир-работы
Х
Хобби-и-рукоделие
И
Искусство-и-развлечения
В
Взаимоотношения
З
Здоровье
К
Кулинария-и-гостеприимство
Ф
Финансы-и-бизнес
П
Питомцы-и-животные
О
Образование
О
Образование-и-коммуникации
infernalcookie
infernalcookie
02.08.2021 21:06 •  Математика

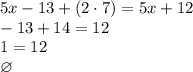
Решите уравнение 5х -13+(2х7)=5х+12

👇
Ответ:
Bandurina
Bandurina
02.08.2021

5x-13+(2\cdot7)=5x+12\\-13+14=12\\1=12\\\varnothing

4,6(14 оценок)
Открыть все ответы
Ответ:
Пропорция: 3 части ягод - 2 части сахара
                  1 1/5 кг ягод - х кг сахара
х = 1 1/5 * 2 : 3 = 6/5 * 2 : 3 = 12/5 : 3 = 12/5 * 1/3 = 4/5 кг сахара
ответ: на 1 1/5 кг ягод надо брать 4/5 кг сахара.

Пропорция: 3 части ягод - 2 части сахара
                   х кг ягод - 1 1/5 кг сахара
х = 1 1/5 * 3 : 2 = 6/5 * 3 : 2 = 18/5 : 2 = 18/5 * 1/2 = 18/10 = 9/5 = 1 4/5 кг ягод
ответ: на 1 1/5 кг сахара надо брать 1 4/5 кг ягод.

По действиям:
3 : 2 = 1 1/2 (раз) - ягод надо брать в полтора раза больше, чем сахара
а) 1 1/5 : 1 1/2 = 6/5 : 3/2 = 6/5 * 2/3 = 12/15 = 4/5 кг сахара (в полтора раза меньше);
б) 1 1/5 * 1 1/2 = 6/5 * 3/2 = 18/10 = 9/5 = 1 4/5 кг ягод (в полтора раза больше)

 
4,5(44 оценок)
Ответ:
goldfox1
goldfox1
02.08.2021
Пропорция: 3 части ягод - 2 части сахара
                  1 1/5 кг ягод - х кг сахара
х = 1 1/5 * 2 : 3 = 6/5 * 2 : 3 = 12/5 : 3 = 12/5 * 1/3 = 4/5 кг сахара
ответ: на 1 1/5 кг ягод надо брать 4/5 кг сахара.

Пропорция: 3 части ягод - 2 части сахара
                   х кг ягод - 1 1/5 кг сахара
х = 1 1/5 * 3 : 2 = 6/5 * 3 : 2 = 18/5 : 2 = 18/5 * 1/2 = 18/10 = 9/5 = 1 4/5 кг ягод
ответ: на 1 1/5 кг сахара надо брать 1 4/5 кг ягод.

По действиям:
3 : 2 = 1 1/2 (раз) - ягод надо брать в полтора раза больше, чем сахара
а) 1 1/5 : 1 1/2 = 6/5 : 3/2 = 6/5 * 2/3 = 12/15 = 4/5 кг сахара (в полтора раза меньше);
б) 1 1/5 * 1 1/2 = 6/5 * 3/2 = 18/10 = 9/5 = 1 4/5 кг ягод (в полтора раза больше)

 
4,4(16 оценок)
Это интересно:
Новые ответы от MOGZ: Математика
logo
Вход Регистрация
Что ты хочешь узнать?
Спроси Mozg
Открыть лучший ответ