М
Молодежь
К
Компьютеры-и-электроника
Д
Дом-и-сад
С
Стиль-и-уход-за-собой
П
Праздники-и-традиции
Т
Транспорт
П
Путешествия
С
Семейная-жизнь
Ф
Философия-и-религия
Б
Без категории
М
Мир-работы
Х
Хобби-и-рукоделие
И
Искусство-и-развлечения
В
Взаимоотношения
З
Здоровье
К
Кулинария-и-гостеприимство
Ф
Финансы-и-бизнес
П
Питомцы-и-животные
О
Образование
О
Образование-и-коммуникации
SureckMozg
SureckMozg
28.07.2021 13:02 •  Математика

1. докажите что если дробь (2n - 3m)/5m несократима то дробь m/n тоже несократима2. написать решение

👇
Ответ:
rekardo
rekardo
28.07.2021

1. Предположим обратное: m/n - сократимая дробь, тогда m можно представить как kn, где k - некоторое целое число. Тогда

\frac{2n-3m}{5m}=\frac{2n-3kn}{5kn}=\frac{n(2-3k)}{5kn}=\frac{2-3k}{5k}

В последнем действие видно, что произошло сокращение на n, а это противоречие с тем, что дробь (2n - 3m)/5m несократима.

Следовательно, m/n - несократимая дробь. ч.т.д.

2.

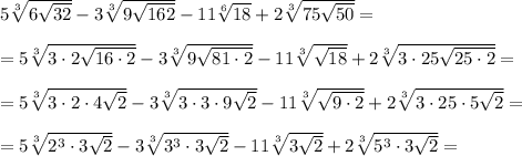
5\sqrt[3]{6\sqrt{32}} -3\sqrt[3]{9\sqrt{162}}-11\sqrt[6]{18}+2\sqrt[3]{75\sqrt{50}}=\\ \\ =5\sqrt[3]{3\cdot2\sqrt{16\cdot2}} -3\sqrt[3]{9\sqrt{81\cdot2}}-11\sqrt[3]{\sqrt{18} }+2\sqrt[3]{3\cdot25\sqrt{25\cdot2}}=\\ \\ =5\sqrt[3]{3\cdot2\cdot4\sqrt{2}} -3\sqrt[3]{3\cdot3\cdot9\sqrt{2}}-11\sqrt[3]{\sqrt{9\cdot2} }+2\sqrt[3]{3\cdot25\cdot5\sqrt{2}}=\\ \\ =5\sqrt[3]{2^3\cdot3\sqrt{2}} -3\sqrt[3]{3^3\cdot3\sqrt{2}}-11\sqrt[3]{3\sqrt{2} }+2\sqrt[3]{5^3\cdot3\sqrt{2}}=

=5\cdot2\sqrt[3]{3\sqrt{2}} -3\cdot3\sqrt[3]{3\sqrt{2}}-11\sqrt[3]{3\sqrt{2} }+2\cdot5\sqrt[3]{3\sqrt{2}}=\\ \\ =10\sqrt[3]{3\sqrt{2}} -9\sqrt[3]{3\sqrt{2}}-11\sqrt[3]{3\sqrt{2} }+10\sqrt[3]{3\sqrt{2}}=\\ \\=\sqrt[3]{3\sqrt{2}}(10-9-11+10)=\sqrt[3]{3\sqrt{2}}\cdot0=0

4,7(30 оценок)
Открыть все ответы
Ответ:
rafael2008
rafael2008
28.07.2021

1) пусть одно число Х, тогда другое 3Х так как одно в три раза больше другого. Составим и решим уравнение х+3х=72 4х=72 х=72/4=18 первое число равно 18, второе равно 3х, значит 3*18=54. ответ 18 и 54.    2) пусть на одну часть приходится х. тогда первое число 5х, второе число 4х, третье число 3х. составим и решим уравнение. 5х+4х+3х=84, 12х=84 х=7 7 приходится на одну часть тогда первое число 7*5=35 второе число 7*4=28 третье число 7*3=21. ответ 35,28,21. 3)пусть х занимаются аквафэробикой, тогда в тренаж. зале х+5 составим и решим уравнение х+х+5=33 ,2х+5=33, 2х=28 х=14, 14 чел. аквааэробика тогда в тренажерном зале х+5=14=5=19 ОТвет. 19,14

4,4(55 оценок)
Ответ:
SakhanovMadiar1
SakhanovMadiar1
28.07.2021

1) пусть одно число Х, тогда другое 3Х так как одно в три раза больше другого. Составим и решим уравнение х+3х=72 4х=72 х=72/4=18 первое число равно 18, второе равно 3х, значит 3*18=54. ответ 18 и 54.    2) пусть на одну часть приходится х. тогда первое число 5х, второе число 4х, третье число 3х. составим и решим уравнение. 5х+4х+3х=84, 12х=84 х=7 7 приходится на одну часть тогда первое число 7*5=35 второе число 7*4=28 третье число 7*3=21. ответ 35,28,21. 3)пусть х занимаются аквафэробикой, тогда в тренаж. зале х+5 составим и решим уравнение х+х+5=33 ,2х+5=33, 2х=28 х=14, 14 чел. аквааэробика тогда в тренажерном зале х+5=14=5=19 ОТвет. 19,14

4,5(75 оценок)
Новые ответы от MOGZ: Математика
logo
Вход Регистрация
Что ты хочешь узнать?
Спроси Mozg
Открыть лучший ответ