М
Молодежь
К
Компьютеры-и-электроника
Д
Дом-и-сад
С
Стиль-и-уход-за-собой
П
Праздники-и-традиции
Т
Транспорт
П
Путешествия
С
Семейная-жизнь
Ф
Философия-и-религия
Б
Без категории
М
Мир-работы
Х
Хобби-и-рукоделие
И
Искусство-и-развлечения
В
Взаимоотношения
З
Здоровье
К
Кулинария-и-гостеприимство
Ф
Финансы-и-бизнес
П
Питомцы-и-животные
О
Образование
О
Образование-и-коммуникации
Грамматике
Грамматике
21.12.2021 02:02 •  Математика

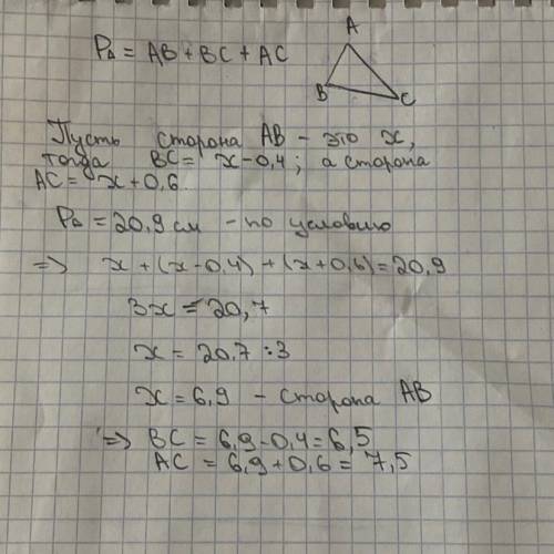
Периметр треугольника равен 20,9 см. Найдите длины сторон треугольника если известно, что одна из них на 0,4 см больше другой и на 0,6 см меньше третьей.

👇
Ответ:
Vladyslav2009
Vladyslav2009
21.12.2021
ответ: AB=6,9 см; BC=6,5 см; AC=7,5 см
Периметр треугольника равен 20,9 см. Найдите длины сторон треугольника если известно, что одна из ни
4,7(84 оценок)
Открыть все ответы
Ответ:
RGROP17
RGROP17
21.12.2021
Библиотека ашшурбанипала   — крупнейшая сохранившаяся  библиотека   древнего мира и древнейшая из всех известных библиотек[1] . составлялась в течение 25 лет в ассирийской столице  ниневии   по приказу царя  ашшурбанипала   (vii  в. до  н.  э.) служила также государственным  архивом . после смерти царя фонды были рассеяны по различным дворцам. обнаруженная археологами часть библиотеки состоит из 25 000 глиняных табличек с  клинописными   текстами. открытие библиотеки в середине xix века имело огромное значение для понимания культур  месопотамии   и для  дешифровки
4,6(11 оценок)
Ответ:
ник5028
ник5028
21.12.2021

ответ:

расстояние между автобусом и автомобилем через час поле начала движения

1*(x+y)

скорость с которой автомобиль и автобус удаляются друг от друга

x+y

скорость между автобусом и автомобилем через 2 часа после начала движения

2*(x+y)

расстояние которое прошёл автомобиль за 2 часа

2x

расстояние которое прошёл автобус за 2 часа

2y

на сколько расстояние пройденное автомобилем за 2 часа больше расстояния пройденного за то же время автобусом

2(x-y)

во сколько раз расстояние, пройденного автомобилем за 2 часа, больше расстояние, пройденного за то же время автобусом

x/y

4,7(46 оценок)
Это интересно:
Новые ответы от MOGZ: Математика
logo
Вход Регистрация
Что ты хочешь узнать?
Спроси Mozg
Открыть лучший ответ