М
Молодежь
К
Компьютеры-и-электроника
Д
Дом-и-сад
С
Стиль-и-уход-за-собой
П
Праздники-и-традиции
Т
Транспорт
П
Путешествия
С
Семейная-жизнь
Ф
Философия-и-религия
Б
Без категории
М
Мир-работы
Х
Хобби-и-рукоделие
И
Искусство-и-развлечения
В
Взаимоотношения
З
Здоровье
К
Кулинария-и-гостеприимство
Ф
Финансы-и-бизнес
П
Питомцы-и-животные
О
Образование
О
Образование-и-коммуникации

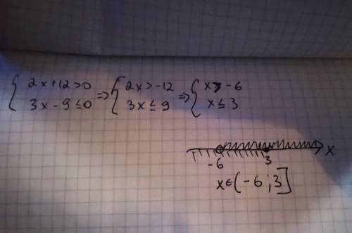
2 x + 12 > 0, 3 x – 9 < 0;
. РЕШИТЬ ДО ЗАВТРА ❤❤


2 x + 12 > 0, 3 x – 9 < 0; . РЕШИТЬ ДО ЗАВТРА ❤❤

👇
Ответ:
Flispide
Flispide
17.08.2020

Пошаговое объяснение:

все на бумаге())(((


2 x + 12 > 0, 3 x – 9 < 0; . РЕШИТЬ ДО ЗАВТРА ❤❤
4,4(3 оценок)
Открыть все ответы
Ответ:
lennyface228
lennyface228
17.08.2020
Былины - русские народные эпические песни. Они повествуют о подвигах богатырей, сражающихся с чудовищами или вражеским войском, отправляющихся в загробный мир или еще каким-либо образом проявляющих свою силу, удаль, храбрость.
В детстве все узнают об Илье Муромце и других богатырях, которые скоро перемешиваются с персонажами сказок, а с возрастом просто забываются как "детские". А между тем былины вовсе не принадлежали к детскому фольклору. Напротив, эти песни исполнялись взрослыми серьезными людьми для таких же взрослых серьезных людей. Переходя от поколения к поколению, они служили передачи древних верований, представлений о мире, сведений из истории. А все, о чем рассказывается в былинах, воспринималось как правда, как реально происходившие когда-то в далеком события.
Собственно народное название былины - старина, т. е. повествование о старинных событиях. Слово "былина" впервые употребил для обозначения этого жанра в середине века собиратель и исследователь фольклора И. П. Сахаров.
Традиционно выделяются два цикла былин, объединенные по месту действия или происхождению героев:

1. Киевские или Владимировы былины (песни об Илье Муромце, Добрыне Никитиче, Алеше Поповиче и др.) .
2. Новгородские былины (Герои - Садко и Василий Буслаевич) .

Кроме того, существует ряд песен, не входящих ни в один из этих циклов.
Былинные богатыри
Главные герои былин - богатыри, люди исключительные, наделенные чертами, которыми не обладает обычный человек: невиданной силой, безграничной храбростью, особенным умением или талантом. Так, если Илья Муромец знаменит своей силой, то Садко - своим непревзойденным искусством играть на гуслях.
Среди богатырей принято выделять "старших" и "младших". К "старшим", как правило, относят Святогора и Волха Всеславьича.
"Старшие" богатыри называются так не только потому, что они по возрасту старше других витязей, но и потому, что они представляют собой более древний, архаичный тип героя. Такому герою нет равного на земле, он единственный в своем роде, так что у него не может быть противника, кроме самой природы, матери-сырой земли.
Бесспорно, черты этих богатырей сказочны. Поступки, ими совершаемые, обстоятельства, в которых они действуют, совсем не похожи на реальные события. Зато в их образах ярче, чем в других случаях, просматриваются древние мифологические представления.
Часто повторяющийся в былинах сюжет - сватовство. Богатырь, чтобы найти себе невесту, обычно отправляется в чужое царство, в дальний путь. По дороге герою приходится преодолеть много преград и совершить множество подвигов. Невеста, как и сам богатырь, часто обладает каким-либо особенным свойством.
Значительная часть былин посвящена борьбе богатыря с чудищем или вражеской силой. Былинный богатырь, как правило, действует в одиночку, идет навстречу страшной опасности и всегда в итоге побеждает. Однако помимо желания проявить свою удаль и потешить "богатырско сердце" героями былин движет и желание постоять за людей и за веру. Их противники несут беду людям - похищают, убивают - и ведут себя нечестиво.
Садко и Василий Буслаевич
Новгородские былины носят несколько иной характер. В них нет "могучих богатырей", "полениц удалых", сражающихся с вражьей силой. Герои этих песен - Садко и Василий Буслаевич, как и киевские богатыри, обладают яркими и особенными чертами: Садко прекрасно играет на гуслях. Садко отличается от обычных людей и тем, что путешествует на дно морское и удачно возвращается.
Василий Буслаевич обладает невероятной силой, которой никто не может противостоять. Однако применяет силу Василий не для борьбы с чудищами или вражьей нечистью, а для собственного развлечения.
Сюжеты былин часто связаны с нарушением героем какого-либо запрета. Нарушение запрета или просто дерзость сулят героям беду. Это связано с тем, что все происходящее в песне, все, что приходится выполнять ее персонажам, предопределено. Какая-то высшая сила - Бог, судьба - решает, что должно случиться!
4,7(3 оценок)
Ответ:
zymzym55
zymzym55
17.08.2020
Der Schirm wurde in die Ecke gestellt.Зонт поставили в угол.
2. Das Geld ist in die Tasche gesteckt worden.Деньги спрятаны в карман (сумку).
3. Das Kind  wurde  von der Mutter gelobt .Мама похвалила сына.    
4. Frisches Brot wird schnell verkauft.Свежий хлеб быстро продаётся.   
5. Dieses Auto muss bis Abend repariert werden.Этот автомобиль необходимо отремонтировать до вечера.
  
1.Es schneit stark seit Morgen.С утра падает сильный снег.   
2.Man darf  nicht in der Lesesaal laut sprechen.В читальном зале нельзя громко разговаривать.   
3.Es ist gesund, Sport zu treiben.Это здорово заниматься спортом.     
4.Es ist sehr spät, und wir gehen nach Hause.Очень поздно и мы идём домой.  
 5.Man muss immer ordentlich sein.Необходимо всегда быть старательным. 
4,6(88 оценок)
Это интересно:
Новые ответы от MOGZ: Математика
logo
Вход Регистрация
Что ты хочешь узнать?
Спроси Mozg
Открыть лучший ответ