
S = V*T
расстояние = Скорость * время
Пусть х - время, за которое он вовремя доходит
1 час = 60 мин
надо привести или к Минутам или часам
к часам
3*(x + 1/60) = 4*(x -3/60)
180x + 3 = 240x - 12
60x = 15
х = 1/4 часа = 15 минут
3 *(1/4 + 1/60) = 16/20 = 4/5 Км Расстояние до школы
Скорость = 4/5 : 1/4 = 16/5 = 3.2 км в час
пусть расстояние
x/3 - время до школы 3 км.ч
x/4 - время до школы 4 км.ч
разница 1 + 3 = 4 минуты 1/15 часа
x/3 - x/4 = 1/15
x = 12/15 = 4/5 км
пусть y - время точное до школы
4/5 : 3 = 1/60 + y
y = 4/15 - 1/60 = 15/60 = 1/4 = 15 минут
находим Скорость = 4/5 : 1/4 = 16/5 = 3.2 км в час
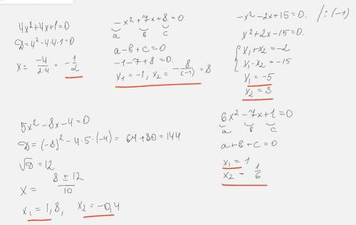
см фото
Пошаговое объяснение:
см фото