М
Молодежь
К
Компьютеры-и-электроника
Д
Дом-и-сад
С
Стиль-и-уход-за-собой
П
Праздники-и-традиции
Т
Транспорт
П
Путешествия
С
Семейная-жизнь
Ф
Философия-и-религия
Б
Без категории
М
Мир-работы
Х
Хобби-и-рукоделие
И
Искусство-и-развлечения
В
Взаимоотношения
З
Здоровье
К
Кулинария-и-гостеприимство
Ф
Финансы-и-бизнес
П
Питомцы-и-животные
О
Образование
О
Образование-и-коммуникации
ilya429
ilya429
11.12.2021 20:37 •  Математика

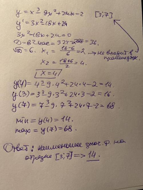
Вычисли наименьшее значение функции y=x^3-9x^2+24x-3 на отрезке [3;7] ответ: yНаим

👇
Ответ:
Майя123
Майя123
11.12.2021

ответ дан на изображении

Пошаговое объяснение:

Объяснение так же показано на изображении


Вычисли наименьшее значение функции y=x^3-9x^2+24x-3 на отрезке [3;7] ответ: yНаим
4,7(76 оценок)
Открыть все ответы
Ответ:
shcherbakova05
shcherbakova05
11.12.2021

Пошаговое объяснение:1) f(x)= 2x²-3x+1 , [-1;1] ⇒ f'(x)= 4x-3, найдём критические точки: 4х-3=0, ⇒ х = 3/4=0,75 ∈[-1;1]. Найдём значения функции в критической точке и на концах данного промежутка:      f(3/4)= 2·(3/4)²- 3·3/4 +1 =9/8 -9/4 + 1 = -1/8 ;     f(1) = 0;   f(-1)=6 ⇒ max f(x)=f(-1)=6;    minf(x)=f(3/4)=-1/8

2)f(x)=3x²-4 на [2;4] ⇒ f'(x)=6x   6x=0, x=0-крит. точка, но x=0∉ [2;4] ⇒ Найдём значения функции  на концах данного промежутка:  f(2)= 3·2²-4= 12-4=8        f(4)=3·4² - 4= 48-4=44 ⇒ max f(x)=f(-4)=44;    minf(x)=f(2)=8                              3)f(x)=x²-1 на [0;3]⇒ f'(x)=2x , 2x=0   x=0 -критическая точка х=0 ∈ [0;3].   Найдём значения функции в критической точке и на концах данного промежутка: f(0) =0²-1=-1; f(3)=3²-1=8 ⇒max f(x)=f(3)=8;    minf(x)=f(0)= -1                      

4,7(49 оценок)
Ответ:
Enot811
Enot811
11.12.2021
1)В конце лета 2013 года на дальний Восток обрушился мощный паводок,который привёл к самому масштабному наводнению
за последние 115 лет.
2)В ночь на 7 июля 2012 года паводок затопил тысячи жилых домов в городах Геленджик,Крымск и Новороссийск,а также в ряде посёлков Краснодарского края.
3)В апреле 2004 года в Кемеровской области произошёл паводок из-за поднятия уровня местных рек Кондома,Томь и их притоков.
4)В августе 2002 года в Краснодонской крае быстротечный смерч и ливневые дожди.
5)В июне 2002 года катастрафическому наводнению в результате ливневых дождей подверглись 9 субъектов Южного федерального округа.
4,4(87 оценок)
Это интересно:
Новые ответы от MOGZ: Математика
logo
Вход Регистрация
Что ты хочешь узнать?
Спроси Mozg
Открыть лучший ответ