М
Молодежь
К
Компьютеры-и-электроника
Д
Дом-и-сад
С
Стиль-и-уход-за-собой
П
Праздники-и-традиции
Т
Транспорт
П
Путешествия
С
Семейная-жизнь
Ф
Философия-и-религия
Б
Без категории
М
Мир-работы
Х
Хобби-и-рукоделие
И
Искусство-и-развлечения
В
Взаимоотношения
З
Здоровье
К
Кулинария-и-гостеприимство
Ф
Финансы-и-бизнес
П
Питомцы-и-животные
О
Образование
О
Образование-и-коммуникации
Pustynya
Pustynya
03.03.2020 12:01 •  Математика

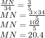
Стороны MN и M1N1 - сходственные стороны подобных треугольников MNL и M1N1L1. Найди значение стороны MN, если M1N1 = 34см, а площади треугольников MNL и M1N1L1 равны 97,92 см² и 272 см² соответственно.

👇
Ответ:
Таисия281
Таисия281
03.03.2020

Стороны подобных треугольников пропорциональны.

Отношение сторон подобных треугольников равна коэффициенту подобия k.

Отношение площадей равна квадрату коэффициента подобия k².

\frac{97.92}{272} = {k}^{2} \\ {k}^{2} = \frac{9}{25} \\ k = \sqrt{ \frac{9}{25} } \\ k = \frac{3}{5}

\frac{MN}{34} = \frac{3}{5} \\ MN = \frac{3 \times 34}{5} \\ MN = \frac{102}{5} \\ MN = 20.4

4,5(33 оценок)
Открыть все ответы
Ответ:
998l
998l
03.03.2020

На нашей планете более 250 стран.  

У каждого народа существуют свои традиции и характерные черты.  

У каждого народа есть свои символы, отразившие художественные  

представления о мире.  

Художественные символы народов мира  

Стоунхендж Великобритания Эймсбери  

Египетские пирамиды. Египет  

Афинский Акрополь Греция Афины  

Великая китайская стена Китай  

Мачу-Пикчу Перу  

Петра Иордания  

 Тадж-Махал Индия Агра  

Статуя Христа-Искупителя Бразилия Рио-де-Жанейро  

Колизей. Рим. Италия  

Эйфелева башня Франция Париж  

Статуя Свободы США Нью-Йорк  

Сиднейский оперный театр Австралия Сидней  

Истуканы острова Пасхи  

Храмовый комплекс Ангкор. Камбоджа  

Архитектурный ансамбль Альгамбра. Испания г. Гранада

4,5(18 оценок)
Ответ:
DEDBOYSSSS
DEDBOYSSSS
03.03.2020

1) 45+12=57 (км/ч) - средняя скорость второго поезда
2) 57+45=102 (км/ч) - общая средняя скорость
3) 102*3+56=362 (км) - расстояние между поездами через 3 часа
4) 102*10+56=1076 (км)
ответ: 362 км через 3 часа, 1076км   через 10 часов.

 

Переведем километры в метры: 15 км = 15000 м
1) 15000 : 30 = 500( м) - может заасфальтировать 1 бригада за 1 день
2) 15000 : 60 = 250( м) - может заасфальтировать 2 бригада за 1 день
3) 500 + 250 = 750( м) -  заасфальтируют обе бригады работая  1 день
4) 15000 : 750 = 20 (д.) 
ответ: За  20 дней могут заасфальтировать эту дорогу обе бригады, работая вместе.

4,7(10 оценок)
Новые ответы от MOGZ: Математика
logo
Вход Регистрация
Что ты хочешь узнать?
Спроси Mozg
Открыть лучший ответ