М
Молодежь
К
Компьютеры-и-электроника
Д
Дом-и-сад
С
Стиль-и-уход-за-собой
П
Праздники-и-традиции
Т
Транспорт
П
Путешествия
С
Семейная-жизнь
Ф
Философия-и-религия
Б
Без категории
М
Мир-работы
Х
Хобби-и-рукоделие
И
Искусство-и-развлечения
В
Взаимоотношения
З
Здоровье
К
Кулинария-и-гостеприимство
Ф
Финансы-и-бизнес
П
Питомцы-и-животные
О
Образование
О
Образование-и-коммуникации
danilukm548p09te8
danilukm548p09te8
23.08.2021 09:05 •  Математика

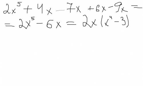
Два икс в пятой степени плюс четыре икс минус семь икс плюс шесть икс минус девять икс

👇
Ответ:
Kata8i77866
Kata8i77866
23.08.2021
...........................................................................................................
Два икс в пятой степени плюс четыре икс минус семь икс плюс шесть икс минус девять икс
4,7(29 оценок)
Открыть все ответы
Ответ:
burgerface
burgerface
23.08.2021
Этапы развития

Русская дореволюционная архитектура

Древнерусская архитектура зародилась в середине первого тысячелетия нашей эры на юге (у Волги, Дона, Днепра). В этот период создаются укрепления в виде деревянных крепостей, городищ. Постепенно формируются и типы жилья: на юге в виде плетневых конструкций, обмазанных глиной, на севере - из рубленых стен. Объединение восточных славян в Киевское государство сыграло большую роль в развитии монументальной каменной архитектуры. При Ярославе МУДРОМ в Киеве на месте битвы русских воинов с печенегами сооружается знаменитый собор Св. Софии (около 1037г.), увенчанный 13 позолоченными главами. Стены храма, выложенные из чередующихся рядов кирпича и камня с толстыми швами, имели живописную, как бы скульптурную поверхность. В интерьера храма большую роль играла мозаика из смальты-стеклянного цветного сплава на золотом фоне. Примерно в это же время (1045-1052гг.) сооружается знаменитый Софийский собор в Новгороде (рис. 27) с белеными известью стенами, пятью главами, увенчанными шлемовидными позолоченными куполами. Архитектура этого собора, созданного русскими мастерами, отличается прекрасно найденными масштабами, пропорциями. В этот период застраиваются Чернигов, Полоцк и другие древнерусские города. После смерти Ярослава Мудрого князь Андрей Боголюбский пытается обосновать новый центр во Владимире на Клязьме, куда переносится княжеская столица из Суздаля. Из памятников архитектуры Владимиро-Сузлальского княжества (XII-XIII вв.) мировой известностью пользуется Дмитриевский собор во Владимире, церковь Покрова на реке Нерли. Характерными чертами этой белокаменной архитектуры являются четкая геометричность плана, стройность зданий и закругленность линий их силуэта, вертикальное членение стен тонкими лопатками и декоративными колонками, устройство арочных поясков, а также на плоскостях стен резных каменных украшений. Эта стройная, нарядная и вместе с тем монументальная архитектура удивительно сочеталась с окружающей природой, зелеными массивами, водными пространствами, что придавало ей и черты лиричности.
4,5(63 оценок)
Ответ:
annet5530
annet5530
23.08.2021
Семья́ — организованная социальная группа, члены которой связаны общностью быта, взаимной моральной ответственностью и социальной необходимостью, которая обусловлена потребностью общества в физическом и духовном самовоспроизводстве.  Семья принадлежит к важнейшим общественным ценностям. Согласно некоторым научным теориям, именно форма семьи могла на протяжении многих веков определять общее направление эволюции макросоциальных систем. [1] Каждый член общества, помимо социального статуса, этнической принадлежности, имущественного и материального положения, с момента рождения и до конца жизни обладает такой характеристикой, как семейно-брачное состояние.  Для ребёнка семья — это среда, в которой складываются условия его физического, психического, эмоционального и интеллектуального развития.  Для взрослого человека семья является источником удовлетворения ряда его потребностей и малым коллективом, предъявляющим к нему разнообразные и достаточно сложные требования. На стадиях жизненного цикла человека последовательно меняются его функции и статус в семье. 
4,8(76 оценок)
Новые ответы от MOGZ: Математика
logo
Вход Регистрация
Что ты хочешь узнать?
Спроси Mozg
Открыть лучший ответ