М
Молодежь
К
Компьютеры-и-электроника
Д
Дом-и-сад
С
Стиль-и-уход-за-собой
П
Праздники-и-традиции
Т
Транспорт
П
Путешествия
С
Семейная-жизнь
Ф
Философия-и-религия
Б
Без категории
М
Мир-работы
Х
Хобби-и-рукоделие
И
Искусство-и-развлечения
В
Взаимоотношения
З
Здоровье
К
Кулинария-и-гостеприимство
Ф
Финансы-и-бизнес
П
Питомцы-и-животные
О
Образование
О
Образование-и-коммуникации
МиллкаВах
МиллкаВах
29.11.2022 03:24 •  Математика

Посмотрите , я верно отметила рациональные варианты?


Посмотрите , я верно отметила рациональные варианты?

👇
Ответ:
про783
про783
29.11.2022

неверно !

на фото буквой R отмечены рациональные числа

все остальные - иррациональные

рациональные числа - те,которые можно представить в виде дроби

небольшое пояснение:

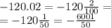
- 120.02 = - 120 \frac{2}{100} = \\ = - 120 \frac{1}{50} = - \frac{6001}{50}

34.10494837003 = 34 \frac{10494837003}{100000000000}

0.98(12) = \frac{9812 - 98}{9900} = \frac{9714}{9900} = \frac{1619}{1650}

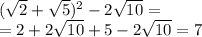
( \sqrt{2} + \sqrt{5} ) ^{2} - 2 \sqrt{10} = \\ = 2 + 2 \sqrt{10 } + 5 - 2 \sqrt{10} = 7


Посмотрите , я верно отметила рациональные варианты?
4,5(29 оценок)
Открыть все ответы
Ответ:
minohbli2207
minohbli2207
29.11.2022
Спринт — совокупность легкоатлетических дисциплин, где спортсмены соревнуются в беге на короткие дистанции («бег на скорость») по стадиону. 

Зимние стадионы : от 50 м до 300 м. Летние стадионы : от 100 м до 400 м.

Длина дистанции в спринте составляет от 30 до 600 метров. В программу Олимпийских игр включен гладкий бег на 100, 200 и 400 метров у мужчин и женщин, эстафетный бег 4×100 и 4×400 метров у мужчин и женщин. 

Соревнования по бегу проводятся на специальных легкоатлетических стадионах с оборудованными дорожками. На летних стадионах обычно 8-9 дорожек, на зимних 4-6 дорожек. Ширина дорожки — 1.22 м, линии, разделяющей дорожки — 5 см. На дорожки наносится специальная разметка указывающая старт и финиш всех дистанций и коридоры для передачи эстафетной палочки. 
4,7(79 оценок)
Ответ:
марго398
марго398
29.11.2022
1 - это весь котлован
1) 1 : 36 = 1/36 часть котлована выкапывает первый экскаватор, работая один
2) 1 : 20 = 1/20 часть котлована выкапывают оба экскаватора,работая вместе
3) 1/20 - 1/36 = (9 - 5)/180 = 4/180 = 1/45 часть котлована выкапывает второй экскаватор, работая один
4) 24 * 1/36 = 24/36 = 2/3 котлована выкопал первый экскаватор за 24 дня
5) 1 - 2/3 = 1/3 часть котлована копал второй экскаватор
6) 1/3 : 1/45 = 1/3 * 45 = 15 дней копал 1/3 часть котлована второй экскаватор
7) 24 + 15 = 39 дней копали котлован экскаваторы

ответ: за 39 дней было выполнено задание
4,4(25 оценок)
Это интересно:
Новые ответы от MOGZ: Математика
logo
Вход Регистрация
Что ты хочешь узнать?
Спроси Mozg
Открыть лучший ответ