М
Молодежь
К
Компьютеры-и-электроника
Д
Дом-и-сад
С
Стиль-и-уход-за-собой
П
Праздники-и-традиции
Т
Транспорт
П
Путешествия
С
Семейная-жизнь
Ф
Философия-и-религия
Б
Без категории
М
Мир-работы
Х
Хобби-и-рукоделие
И
Искусство-и-развлечения
В
Взаимоотношения
З
Здоровье
К
Кулинария-и-гостеприимство
Ф
Финансы-и-бизнес
П
Питомцы-и-животные
О
Образование
О
Образование-и-коммуникации
saaafffina8902
saaafffina8902
21.07.2022 18:01 •  Математика

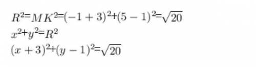
Составитьте уравнения окружности с центром в точке С и проходящей через точку М,если C(2;3) M(-3;4)

👇
Ответ:
sanakajpak
sanakajpak
21.07.2022

скорее всего так если не правильно говори


Составитьте уравнения окружности с центром в точке С и проходящей через точку М,если C(2;3) M(-3;4)
4,6(38 оценок)
Открыть все ответы
Ответ:
Крад
Крад
21.07.2022
Для начала вспомним признак делимости на 11:
На 11 делятся только те числа, у которых сумма цифр, стоящих на нечётных местах, либо равна сумме цифр, стоящих на чётных местах, либо отличается от неё на число, делящееся на 11.
Посмотрим на число из 2011 единиц. Оно не подходит под признак делимости, а следовательно будет с остатком.
А вот число из 2010 единиц нацело поделится.
Теперь вычтем из числа с 2011 единицами число с 2010 единицами. Мы получим 1. Это и будет остаток от деления числа из 2011 единиц на 11.
ответ: остаток 1.
4,5(1 оценок)
Ответ:
MCKiri4PrO
MCKiri4PrO
21.07.2022
Для начала вспомним признак делимости на 11:
На 11 делятся только те числа, у которых сумма цифр, стоящих на нечётных местах, либо равна сумме цифр, стоящих на чётных местах, либо отличается от неё на число, делящееся на 11.
Посмотрим на число из 2011 единиц. Оно не подходит под признак делимости, а следовательно будет с остатком.
А вот число из 2010 единиц нацело поделится.
Теперь вычтем из числа с 2011 единицами число с 2010 единицами. Мы получим 1. Это и будет остаток от деления числа из 2011 единиц на 11.
ответ: остаток 1.
4,5(34 оценок)
Новые ответы от MOGZ: Математика
logo
Вход Регистрация
Что ты хочешь узнать?
Спроси Mozg
Открыть лучший ответ