М
Молодежь
К
Компьютеры-и-электроника
Д
Дом-и-сад
С
Стиль-и-уход-за-собой
П
Праздники-и-традиции
Т
Транспорт
П
Путешествия
С
Семейная-жизнь
Ф
Философия-и-религия
Б
Без категории
М
Мир-работы
Х
Хобби-и-рукоделие
И
Искусство-и-развлечения
В
Взаимоотношения
З
Здоровье
К
Кулинария-и-гостеприимство
Ф
Финансы-и-бизнес
П
Питомцы-и-животные
О
Образование
О
Образование-и-коммуникации
taras9877
taras9877
23.12.2022 05:58 •  Математика

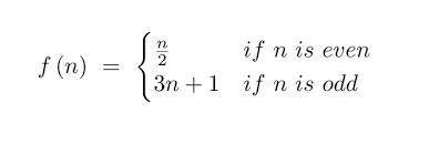
Очень !
Задача за 3 класс !


Очень ! Задача за 3 класс !

👇
Ответ:
hadika2006
hadika2006
23.12.2022

Чел это уравнение невозможно решить... Откуда ты взялся с такими уравнениями ?

4,4(85 оценок)
Открыть все ответы
Ответ:
catikis
catikis
23.12.2022
Сенкан повинен составятся з 5 рядків: - у першій має бути те, про що ми пишемо (наприклад, матінка) - у другій 2 слова, описує предмет писання (наприклад, рідна, мила) - у третій 3 слова, на питання «що робить» і тому подібних. (наприклад, любить, чекає, сподівається) - у четвертій ціле речення відкриває суть того, що робить предмет про який пишуть (наприклад, сидить і думає про своїх синів) - у п'ятій, синонім до слова, про який пишуть (наприклад, матінка) ось і вийшов у нас сенкан зі словом матінка: матінка рідна, мила любить, чекає, сподівається сидить і думає про своїх синів матінка(я просто знаю украинский =))
4,5(50 оценок)
Ответ:
ппво
ппво
23.12.2022
1. найдем объем: v=a*b*h=2*15*1=30 м³ 30 м³ =  30000 л ответ: 30000 литров врды налито в бак. 2. 1) найдем площадь прямоугольного участка: s=a*b=100*25=2500 м²; 2) найдем сторону квадратного участка: s = a² a =  √s a =  √2500 = 50 м; 3) найдем периметр прямоугольного участка: р = 2 (a + b)= 2 (100 + 25) = 250 м; 4) найдем периметр квадратного участка: р = 4*а = 4 * 50 = 200 м; 5) найдем разницу: 250 - 200 = 50 м. ответ:   на 50 м меньше понадобится изгороди, чтобы огородить квадратный участок.3. 1) найдем скорость первого: 10 * 5 = 50 км/ч; 2) найдем скорость второго: 10 * 7 = 70 км/ч; 3) найдем скорость сближения: 50 + 70 = 120 км/ч; 4) найдем время, через которое поезда встретятся: t = s : vсб = 480 : 120 = 4 чответ. поезда встретятся через 4 часа.4. пусть костюм стоит х руб, тогда пальто стоит х+200 руб. составим и решим уравнение: 12х + 10(х + 200) = 1960012х + 10х + 2000 =1960022х = 19600 - 200022х = 17600х = 17600 : 22х = 800 руб - стоит костюм800 + 200 = 1000 руб стоит пальто.ответ: мужской костюм стоит 800 руб, а пальто - 1000 руб.
4,7(100 оценок)
Это интересно:
Новые ответы от MOGZ: Математика
Полный доступ к MOGZ
Живи умнее Безлимитный доступ к MOGZ Оформи подписку
logo
Вход Регистрация
Что ты хочешь узнать?
Спроси Mozg
Открыть лучший ответ