М
Молодежь
К
Компьютеры-и-электроника
Д
Дом-и-сад
С
Стиль-и-уход-за-собой
П
Праздники-и-традиции
Т
Транспорт
П
Путешествия
С
Семейная-жизнь
Ф
Философия-и-религия
Б
Без категории
М
Мир-работы
Х
Хобби-и-рукоделие
И
Искусство-и-развлечения
В
Взаимоотношения
З
Здоровье
К
Кулинария-и-гостеприимство
Ф
Финансы-и-бизнес
П
Питомцы-и-животные
О
Образование
О
Образование-и-коммуникации
Gear228man
Gear228man
22.05.2020 11:18 •  Математика

При каких значениях x выражения принимают равные значения


При каких значениях x выражения принимают равные значения

👇
Ответ:
pomogiteplease1245
pomogiteplease1245
22.05.2020

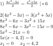
1)  0; 4,2

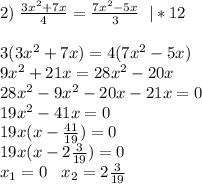
2) 0; 2 3/19

Пошаговое объяснение:

1)\; \frac{4x^2-3x}{3}=\frac{x^2+5x}{2}\; |*62(4x^2-3x)=3(x^2+5x)\\8x^2-6x=3x^2+15x\\8x^2-6x-3x^2-15x=0\\5x^2-21x=0\\5x(x-4,2)=0\\x_1=0\; \;\;\; \; x_2=4,2

2)\; \frac{3x^2+7x}{4}=\frac{7x^2-5x}{3}\; \; |*123(3x^2+7x)=4(7x^2-5x)\\9x^2+21x=28x^2-20x\\28x^2-9x^2-20x-21x=0\\19x^2-41x=0\\19x(x-\frac{41}{19})=0\\19x(x-2\frac{3}{19})=0\\x_1=0\; \; \;x_2=2\frac{3}{19}

4,4(20 оценок)
Открыть все ответы
Ответ:
Ева2208
Ева2208
22.05.2020
16 минут = 16/60 часа = 4/15 часа.
Пусть х - скорость автомобиля до переезда.
Тогда х+10 - скорость после переезда.
80/х - время, которое автомобиль затратил бы на путь, если бы двигался с первоначальной скоростью.
80/(х+10) - время, которое автомобиль затратил на путь, двигаясь с увеличенной на 10 км/ч скоростью.
Уравнение:
80/х - 80(х+10) = 4/15
Умножим обе части уравнения на 15х(х+10):
15•80х(х+10)/х - 15•80х(х+10)/(х+10)= 15•4х(х+10)/15
1200(х+10) - 1200х = 4х(х+10)
1200х + 12000 - 1200х = 4х² + 40х
4² + 40х - 12000 = 0
Разделим обе части уравнения на 4
х² + 10х - 3000 = 0
D = 10² - 4(-3000) = 100 + 12000 = 12100
√D = √12100 = 110
х1 = (-10 - 110)/2 = -120/2 = -60 - не подходит по условию задачи
х2 = (-10 + 110)/2 = 100/2 = 50 км/ч - первоначальная скорость.
4,7(92 оценок)
Ответ:
kirirllermakov
kirirllermakov
22.05.2020
16 минут = 16/60 часа = 4/15 часа.
Пусть х - скорость автомобиля до переезда.
Тогда х+10 - скорость после переезда.
80/х - время, которое автомобиль затратил бы на путь, если бы двигался с первоначальной скоростью.
80/(х+10) - время, которое автомобиль затратил на путь, двигаясь с увеличенной на 10 км/ч скоростью.
Уравнение:
80/х - 80(х+10) = 4/15
Умножим обе части уравнения на 15х(х+10):
15•80х(х+10)/х - 15•80х(х+10)/(х+10)= 15•4х(х+10)/15
1200(х+10) - 1200х = 4х(х+10)
1200х + 12000 - 1200х = 4х² + 40х
4² + 40х - 12000 = 0
Разделим обе части уравнения на 4
х² + 10х - 3000 = 0
D = 10² - 4(-3000) = 100 + 12000 = 12100
√D = √12100 = 110
х1 = (-10 - 110)/2 = -120/2 = -60 - не подходит по условию задачи
х2 = (-10 + 110)/2 = 100/2 = 50 км/ч - первоначальная скорость.
4,7(69 оценок)
Это интересно:
Новые ответы от MOGZ: Математика
logo
Вход Регистрация
Что ты хочешь узнать?
Спроси Mozg
Открыть лучший ответ