М
Молодежь
К
Компьютеры-и-электроника
Д
Дом-и-сад
С
Стиль-и-уход-за-собой
П
Праздники-и-традиции
Т
Транспорт
П
Путешествия
С
Семейная-жизнь
Ф
Философия-и-религия
Б
Без категории
М
Мир-работы
Х
Хобби-и-рукоделие
И
Искусство-и-развлечения
В
Взаимоотношения
З
Здоровье
К
Кулинария-и-гостеприимство
Ф
Финансы-и-бизнес
П
Питомцы-и-животные
О
Образование
О
Образование-и-коммуникации
katyamarkova22
katyamarkova22
18.10.2021 22:07 •  Математика

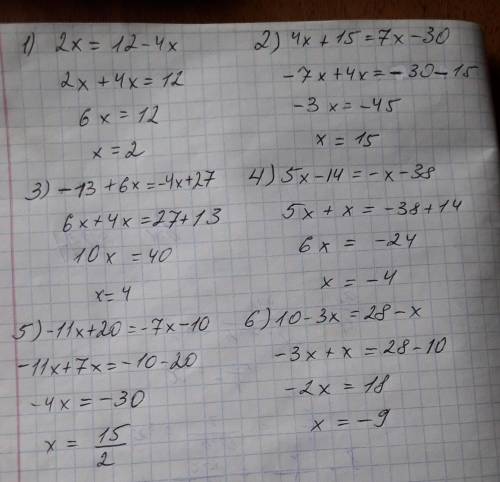
• Розв’яжіть рівняння: 1) 2х=12-4х
2) 4х+15=7х-30
3) -13+6х=-4х+27
4) 5х-14=-х-38
5) -11х+20=-7х-10
6) 10-3х=28-х
!!

👇
Ответ:
yourdream23
yourdream23
18.10.2021

1) 2 2) -15 3) 3 4) 4 5) 7,5 6) 9

4,6(16 оценок)
Ответ:
sisake
sisake
18.10.2021

Відповід, готове завдання


• Розв’яжіть рівняння: 1) 2х=12-4х2) 4х+15=7х-303) -13+6х=-4х+274) 5х-14=-х-385) -11х+20=-7х-106) 10
4,7(93 оценок)
Открыть все ответы
Ответ:
St1ler
St1ler
18.10.2021
Фауна Кольского полуострова представлена более чем 2 тыс. видов насекомых, 143 видами птиц, 32 видами млекопитающих, сотнями видов беспозвоночных. 
Основными видами охотничьих животных являются: лось, лисица, заяц-беляк, белка, горностай, куница, тетерев, рябчик, белая куропатка. Заготовка пушнины снизилась до минимума. Строго организована в области охота на диких северных оленей, лосей и медведей, которая ведется по лицензиям. 
Площадь закреплённых охотничьих угодий - 535 тыс. га. 
В связи с многолетним промысловым прессом, сведением лесов, загрязнением территории промышленными выбросами и сбросами, растительный и животный мир области заметно деградирует. Угнетена и сокращается кормовая база, видовой состав растений и животных. С целью сохранения флоры и фауны запрещена добыча 19 видов млекопитающих, 22 видов птиц, 111 видов растений, включенных в список объектов, подлежащих полной охране. 
4,8(18 оценок)
Ответ:
nurmuh4med
nurmuh4med
18.10.2021
2/5b+2/3b-7/15b=2  1/2
6/15b+10/15b-7/15b=2  1/2
6/15b+3/15b=2  1/2
9/15b=5/2
3/5b=5/2
b=5/2 : 3/5
b=5/2 * 5/3
b=25/6
b=4  1/6

3  1/2 * (2/3x+4/7)=2  1/3
2/3x+4/7=7/3 : 7/2
2/3x+4/7=7/3 * 2/7
2/3x+4/7=2/3
2/3x=2/3-4/7
2/3x=14/21-12/21
2/3x=2/21
x=2/21 : 2/3
x=3/21
x=1/7

4  1/12 - 1  5/6x= 2  17/24
1  5/6x= 4  1/12 - 2 17/24
11/6x= 4 2/24 - 2  17/24
11/6x=3  26/24  - 2  17/24
11/6x= 1  9/24
x=33/24 : 11/6
x=3/4

3  1/3 : (3/7y - 13/15) = 1  9/16
3/7y - 13/15 = 3  1/3 : 1  9/16
3/7y - 13/15 = 10/3 : 25/16
3/7y - 13/15 = 10/3*  16/25
3/7y - 13/15 = 2/3 * 16/5
3/7y  = 32/15 + 13/15
3/7y = 45/15
3/7y = 3
y = 3 : 3/7
y = 3 * 7/3
y = 7
4,7(25 оценок)
Новые ответы от MOGZ: Математика
logo
Вход Регистрация
Что ты хочешь узнать?
Спроси Mozg
Открыть лучший ответ