М
Молодежь
К
Компьютеры-и-электроника
Д
Дом-и-сад
С
Стиль-и-уход-за-собой
П
Праздники-и-традиции
Т
Транспорт
П
Путешествия
С
Семейная-жизнь
Ф
Философия-и-религия
Б
Без категории
М
Мир-работы
Х
Хобби-и-рукоделие
И
Искусство-и-развлечения
В
Взаимоотношения
З
Здоровье
К
Кулинария-и-гостеприимство
Ф
Финансы-и-бизнес
П
Питомцы-и-животные
О
Образование
О
Образование-и-коммуникации
kiss86gv
kiss86gv
29.03.2022 08:13 •  Математика

Разложите на множители:
а) 8x²+24x²
б) a(y-5) - b(5- y)
в) 36 x²-(4- x) ²

👇
Ответ:
polinasmi1
polinasmi1
29.03.2022

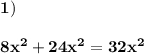
\displaystyle\bf\\1)8x^{2} +24x^{2} =32x^{2}

Может задание выглядит так :

\displaystyle\bf\\8x^{2} +24x=8x(x+3)2)a(y-5)-b(5-y)=a(y-5)+b(y-5)=(y-5)(a+b)3)36x^{2} -(4-x)^{2} =(6x)^{2} -(4-x)^{2} =\Big[6x-(4-x)\Big]\Big[6x+(4-x)\Big]==(6x-4+x)(6x+4-x)=(7x-4)(5x+4)1)8x+24x^{2} =8x(1+3x)

4,8(9 оценок)
Ответ:
kurilen
kurilen
29.03.2022

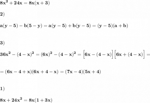
а) 1) 8х²+24х²=32х²

⠀2) Если: 8х²+24х

Вынесем за скобки общий множитель 8х

⠀⠀⠀8х(х+3)

⠀2) Если: 8х + 24х²

Вынесем за скобки общий множитель 8х

⠀⠀⠀8х(1+3х) - это ответ.

б) а(у-5)-b(5-y)

Мы можем поменять местами вычитаемое и уменьшаемое, добавив знак минус перед разностью.

⠀⠀⠀a(y-5)-b(-(у-5))

⠀⠀⠀а(у-5)+b(y-5). "-" * "-" = +

Вынесем за скобки общий множитель (у-5)

⠀⠀⠀(у-5)(a+b) - это ответ.

в) 36х² - (4-х)²

36x² - (4-х)² - разность квадратов, который звучит следующим образом: разность квадратов двух выражений равна произведению их разности и их суммы. В виде формулы: а² - b² = (a-b)(a+b).36x² - (4-х)² - 36 запишем с основание 6 и с показателем степени 2.

⠀⠀⠀6²*х²= (6х)²

(6х)² - (4-х)² = (6х-(4-х))(6х+(4-х))

Если за скобкой стоит знак минус, то все числа, которые стоят внутри скобки, меняют свой знак на противоположный. Если плюс, то записываем их также, без изменений.

⠀⠀⠀(6х-4+х)(6х+4-х)

Приведем подобные переменные.

⠀⠀⠀(6х-4+х)(6х+4-х) ⇒(6х+х=7х)(6х-х=5х)

⠀⠀⠀(7х-4)(5х+4) - это ответ.

4,5(27 оценок)
Открыть все ответы
Ответ:
35глис
35глис
29.03.2022
1) an das Brandenburger Tor,das das Wahrzeichen Berlins ist;
2) an das Nikolaiviertel,das zu den ältesten Stadtteilen Berlins gehört;
3) an den Alexanderplatz,der  den Namen des Zaren Alexander des Ersten trägt und auf dem sich der Berliner Fernsehturm befindet;
4)an die Münchener Alte Pinakothek,in der sich eine große Sammlung von weltberühmten Gemälden befindet;
5)an den Marienplatz mit der Marienkirche und der Mariensaule,die das Wahrzeichen von München sind;
6)an den Kölner Dom,der ein Meisterwerk gotischer Architektur ist.
4,5(6 оценок)
Ответ:
ЮЮПР
ЮЮПР
29.03.2022
Велосипедист:
Скорость - х км/ч
Время в пути - 60/х ч.

Автомобилист :
Скорость  -  (х+110) км/ч
Время в пути -  60/(х+110)  ч.

Разница во времени : 5,5 ч.

60/х   - 60/(х+110) =5,5
60(x+110)  -60x=5.5x(x+110)
60x+6600-60x= 5.5x²+605x
5.5x²+605x-6600=0    |÷5.5
x²+110x-1200=0
D= 110²-4*1*1200=12100+4800=16900=130²
x₁= (-110-130)/2 = -240/2=-120 - не удовл. условию задачи
x₂=(-110+130)/2= 20/2=10  (км/ч)  - скорость велосипедиста

проверим:
60/10  -  60/(10+110) = 6  - 0,5=5,5 ч.  - разница во времени

ответ: 10 км/ч  скорость велосипедиста.
4,6(91 оценок)
Это интересно:
Новые ответы от MOGZ: Математика
logo
Вход Регистрация
Что ты хочешь узнать?
Спроси Mozg
Открыть лучший ответ