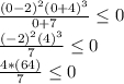
1 задача. 1) Сумма роста 28 учащихся класса S=28*149 4/7=4188 см. 2) Средний рост 29 учащихся - Z (целое число), рост самого высокого ученика L. (4188+L)/29=Z L=Z*29-4188, число Z - сопоставимо со средним ростом 28 учащихся и равно ближайшему большему числу. Z=150 L=150*29-4188=162 см. 2 задача. Если из 16 мальчиков только перед десятым стоит девочка,то все девочки стоят между девятым и десятым мальчиками. Значит только перед одной первой девочкой стоит мальчик. 3 задача. 80/50*80+80=208 минут. =3 часа 28 минут. 4 задача. ш.-x-4 c-6x решаем уравнение х-4=6х;х-6+4;х-10 значит, ответ А. 5 задача. 5/9 ~ 0,56 7/12 ~ 0,58 0,58-0,56=0,02 Девочек больше на 0,02. Я очень старалась, и надеюсь
1 задача. 1) Сумма роста 28 учащихся класса S=28*149 4/7=4188 см. 2) Средний рост 29 учащихся - Z (целое число), рост самого высокого ученика L. (4188+L)/29=Z L=Z*29-4188, число Z - сопоставимо со средним ростом 28 учащихся и равно ближайшему большему числу. Z=150 L=150*29-4188=162 см. 2 задача. Если из 16 мальчиков только перед десятым стоит девочка,то все девочки стоят между девятым и десятым мальчиками. Значит только перед одной первой девочкой стоит мальчик. 3 задача. 80/50*80+80=208 минут. =3 часа 28 минут. 4 задача. ш.-x-4 c-6x решаем уравнение х-4=6х;х-6+4;х-10 значит, ответ А. 5 задача. 5/9 ~ 0,56 7/12 ~ 0,58 0,58-0,56=0,02 Девочек больше на 0,02. Я очень старалась, и надеюсь
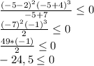
Відповідь:
х є (-7 ; -4] ∪ {2}
Покрокове пояснення:
Для того что бы решить данное неравенство, из вида
превратим в вид 
(х-2)²(х+4)³(х+7)≤0 (х+7)≠0
Для того, что бы решить такое неравенство, нужно сначала решить уравнение, и найти промежутки:
(х-2)²(х+4)³(х+7)=0
(х-2)=0 (х+4)=0 (х+7)≠0
х=2 х=-4 х≠-7
Три точки делают 4 промежутка, проверим каждый из них:
1) Из промежутка (-∞ ; -7) возьмем число -10
Неверно, так как минус на минус даст плюс, число > 0
2) Из промежутка (-7 ; -4) возьмем число -5
3) Из промежутка (-4 ; 2) возьмем число 0
4) Из промежутка (2 ; +∞) возьмем число 3
Тогда нам подойдет только промежуток (-7 ; -4) и 2 числа, 4 и 2, тогда ответ будет таким: х є (-7 ; -4] ∪ {2}