М
Молодежь
К
Компьютеры-и-электроника
Д
Дом-и-сад
С
Стиль-и-уход-за-собой
П
Праздники-и-традиции
Т
Транспорт
П
Путешествия
С
Семейная-жизнь
Ф
Философия-и-религия
Б
Без категории
М
Мир-работы
Х
Хобби-и-рукоделие
И
Искусство-и-развлечения
В
Взаимоотношения
З
Здоровье
К
Кулинария-и-гостеприимство
Ф
Финансы-и-бизнес
П
Питомцы-и-животные
О
Образование
О
Образование-и-коммуникации
beksedaniar
beksedaniar
19.09.2020 22:07 •  Математика

разобраться в этом примере

👇
Ответ:

11

Пошаговое объяснение:

1) (3-¹ - √1. 7/9)-² = (1/3 - √16/9)-² = (1/3 - 4/3)-² = (-3/3)-² = (-1)-² = 1-² = 1

2) 1 : 0,25 = 4

Это числитель

3) 37/300 : 0,0925 = 37/300 : 925/10000 = 37/300 * 10000/925 = 1/3 * 100/25 = 100/75 = 4/3

Это знаменатель

4) 4 : 4/3 = 4 * 3/4 = 12/4 = 3

Это результат дроби

5) 12,5 * 0,64 = 8

6) 3 + 8 = 11

Это результат всего примера

4,8(63 оценок)
Ответ:
lolgg2
lolgg2
19.09.2020

Решение.

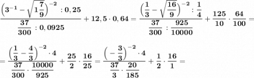
\bf \dfrac{\Big(3^{-1}-\sqrt{1\dfrac{7}{9}}\Big)^{-2}\, :0,25}{\dfrac{37}{300}\, :0,0925}+12,5\cdot 0,64=\dfrac{\Big(\dfrac{1}{3}-\sqrt{\dfrac{16}{9}}\Big)^{-2}:\dfrac{1}{4}}{\dfrac{37}{300}\, :\dfrac{925}{10000}}+\dfrac{125}{10}\cdot \dfrac{64}{100}==\dfrac{\Big(\dfrac{1}{3}-\dfrac{4}{3}\Big)^{-2}\cdot 4}{\dfrac{37}{300}\cdot \dfrac{10000}{925}}+\dfrac{25}{2}\cdot \dfrac{16}{25}=\dfrac{\Big(-\dfrac{3}{3}\Big)^{-2}\cdot 4}{\dfrac{37}{3}\cdot \dfrac{20}{185}}+\dfrac{1}{2}\cdot \dfrac{16}{1}=

\bf =\dfrac{\Big(-1\Big)^{-2}\cdot 4}{\dfrac{1}{3}\cdot \dfrac{20}{5}}+\dfrac{16}{2}=\dfrac{4}{\dfrac{4}{3}}+8=\dfrac{4\cdot 3}{4}+8=3+8=\boxed{\bf 11}          

4,7(32 оценок)
Открыть все ответы
Ответ:
Nastenkapu
Nastenkapu
19.09.2020
Растительность Северо-Западного Кавказа отличается большим богатством и разнообразием. В составе флоры Краснодарского края насчитывается около 3000 видов высших сосудистых растений.
   Особая природоохранная значимость растительности края состоит в том, что она является составной частью одного из мировых центров видового разнообразия, представленных в пределах Большого Кавказа. Во флоре Краснодарского края насчитывается большое количество полезных растений: 250 лекарственных видов, свыше 140 видов эфиромасличных, сотни видов медоносов. На сравнительно небольшой территории здесь представлены разнообразные широтно-зональные и высотно-поясные типы растительности, в разной степени сохранившие свой первозданный природно-ландшафтный облик.
   В юго-западной части Приазовья расположены пойменные луга и плавни. Левобережье Кубани представлено лесостепью. На Черноморском побережье, приморская полоса покрыта низкорослым лесом из дуба пушистого, кизила, грабника, барбариса, а также богатой травянистой растительностью, с вечнозелеными растениями: лавровишней, рододендроном и различными лианами. Здесь произрастают представители тропиков и субтропиков: камелия, агавы, веерные пальмы, декоративный банан, бамбук, пробковый дуб, цитрусовые, инжир, хурма.
   Леса в Краснодарском крае расположены по вертикальным поясам, приуроченным к определенным высотным отметкам. В предгорной и низкогорной части края преобладают дубравы, образованные формированием дуба скального, черешчатого, пушистого и Гортвиса; в этом же поясе находятся леса, образованные различными видами сосны и каштана съедобного.
4,7(30 оценок)
Ответ:
anutka2018
anutka2018
19.09.2020
1 час : 3 3\\5 км
2 час :  3 3\5 + 1 13\20 = 3 12\20 + 1 13\20 = 4 25\20 = 5 5\20 км
3 час :  3 3\5 - 17\20 = 3 12\20 - 17\20 = 2 32\20 - 17\20 = 2 15\20 км
Всего за три часа:
3 12\20  + 5 5\20 + 2 15\20 = 10 целых 32\20 = 11 12\20 = 11.6 (км)
ответ 11.6 км

1) 3 3\7 + 2 1\14 = 3 6\14 + 2 1\14 = 5 7\14 = 5.5
2) 5.5 - 3.25 = 2.25
ответ: 2.25

3 11\18 - ( 6 7\42 - 3 22\42) = 3 11\18 - ( 5 49\42 - 3 22\42) = 3 11\18 - 2 27\42 =
= 3 77\126 - 2 81\126 = 2 203\126 - 2 81\126 = 122\126 = 61\63 
ответ 61\63

1) 4 7\18 - 6 2\9 = 4 7\18 - 6 4\18 = 1 3\18 = 1 1\6 = 1 2\12
2) 5 5\12 + 1 2\12 = 6 7\12
ответ 6 целых 7\12
4,4(57 оценок)
Это интересно:
Новые ответы от MOGZ: Математика
logo
Вход Регистрация
Что ты хочешь узнать?
Спроси Mozg
Открыть лучший ответ