М
Молодежь
К
Компьютеры-и-электроника
Д
Дом-и-сад
С
Стиль-и-уход-за-собой
П
Праздники-и-традиции
Т
Транспорт
П
Путешествия
С
Семейная-жизнь
Ф
Философия-и-религия
Б
Без категории
М
Мир-работы
Х
Хобби-и-рукоделие
И
Искусство-и-развлечения
В
Взаимоотношения
З
Здоровье
К
Кулинария-и-гостеприимство
Ф
Финансы-и-бизнес
П
Питомцы-и-животные
О
Образование
О
Образование-и-коммуникации
GreenExtreme5995
GreenExtreme5995
24.12.2021 16:46 •  Математика

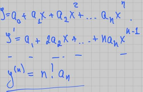
Найти n порядок
A0+a1x+...anx^n
Найти n порядок
С первым надо найти производный

👇
Ответ:
karinavagi
karinavagi
24.12.2021

Смотри вложения надеюсь это то что тебе нужно


Найти n порядок A0+a1x+...anx^n Найти n порядок С первым надо найти производный
4,5(94 оценок)
Открыть все ответы
Ответ:
Valida12
Valida12
24.12.2021
Существуют 4 основополагающих типа политических процессов: идеологически-политический тип; -политический тип; тип формирующий общественное мнение; структурообразующий.  но типологии политического процесса на этом не заканчиваются и существует еще несколько. например, шутов выделяет идеократический и технократический типы. а мамут выделяет институциональный, функционирующий тип, тип принятия и исполнения решений.  соловьев говорит, что существуют базовые политические процессы или систематизирующие и периферийные, которые касаются изменения не основных положений политической системы.
4,5(66 оценок)
Ответ:
pascha2104
pascha2104
24.12.2021

    1) 703•25+25•х, при х=297

     1)   3)   2)     (расставь действия)

703•25+25•297 = 130 494 375

1) 703 * 25 = 17 575

2) 25 * 297 = 7 425

3) 17 575 * 7 425 = 130 494 375

    2) 87-у -87-43, при у = 243

   1)       2)     3)

87 - 243 - 87 - 43 = -(286)

1) 87-243= -(156)

2) -(156) - 87= -(243)

3) -(243) - 43 = -(286)

    3) 527-x-527-25, при х=-105

      1)         2)      3)

527 - -(105) - 527 - 25 = 80

1) 527 - -(105) = 632

2) 632 - 527 = 105

3) 105 - 25 = 80

    4) 677 - у - 677 * 323, при у=-77

     2)      3)        1)

677 - -(77) - 677 * 323 =

1) 677 * 323 = 218 671

2)677 - -(77) = 754

3) 754 - 218 671 = -217 917

    ответы просчитаешь в тетради столбиком

фууух, сам не ленись, отвечай на примеры и удачи!

Пошаговое объяснение:

4,8(10 оценок)
Это интересно:
Новые ответы от MOGZ: Математика
logo
Вход Регистрация
Что ты хочешь узнать?
Спроси Mozg
Открыть лучший ответ