М
Молодежь
К
Компьютеры-и-электроника
Д
Дом-и-сад
С
Стиль-и-уход-за-собой
П
Праздники-и-традиции
Т
Транспорт
П
Путешествия
С
Семейная-жизнь
Ф
Философия-и-религия
Б
Без категории
М
Мир-работы
Х
Хобби-и-рукоделие
И
Искусство-и-развлечения
В
Взаимоотношения
З
Здоровье
К
Кулинария-и-гостеприимство
Ф
Финансы-и-бизнес
П
Питомцы-и-животные
О
Образование
О
Образование-и-коммуникации
gferangiz
gferangiz
31.10.2022 01:44 •  Математика

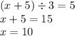
Мальчик придумал число и прибавил к этому числу5,полученную сумму делил на 3,полученное деление равнялось 5.

👇
Ответ:
SSS252525
SSS252525
31.10.2022

10

Пошаговое объяснение:

пускай задуманное число=х, тогда получаем:

(x + 5) \div 3 = 5 \\ x + 5 = 15 \\ x = 10

4,7(4 оценок)
Ответ:
Ismailll
Ismailll
31.10.2022

Обозначим это число как х, тогда:

(х+5)÷3=5

х+5=5×3

х+5=15

х=15-5

х=10

ЭТО ЧИСЛО 10
4,4(91 оценок)
Открыть все ответы
Ответ:
nikitkaandreev1
nikitkaandreev1
31.10.2022

Пошаговое объяснение:

Ще перед прийняттям християнства Володимиром Святославичем проникало на Русь болгарське (церковно-слов'янське) письмо (кирилиця). Це промостило шлях для прийняття і болгарської літургії та церковної літератури за Володимира, хоч християнство прийняв він від греків. Припускається, що спочатку підготовка священиків відбувалася при єпископських кафедрах за візантійським зразком. Князі діставали домашню освіту. З початкового літопису відомо, що Володимир Святославич примусово забирав дітей знаті на «книжне навчання» і Ярослав Мудрий у 1037 році визначив священикам при церквах платню за навчання людей грамоти. На княжих дворах цінувалося знання мов. Серед церковних книжників поширене було знання грецької мови. На дворі галицько-волинських володарів першої половини 14 ст. ввійшла у вжиток латина, що свідчить про впливи західної освіти.

4,5(4 оценок)
Ответ:
анг36
анг36
31.10.2022

Пошаговое объяснение:

Всего шаров 6+5+3=14.

Исход - выбор четырех шаров из 14.

Всего исходов: С144= 14!/(4!*10!) = 14*13*12*11/(2*3*4) = 1001

Подсчитаем благоприятные исходы.

Чтобы вынуть хотя бы по одному шару разного цвета, надо вынуть

а) 2 белых+1 черный+1 красный. Это С62*5*3 = 6!/(2!*4!) *5*3= 6*5/2 *15=225 исходов

б) 1 белый+2 черных+1 красный. Это 6*C52*3 = 18* 5!/(2!*4!) = 18* 5*4/2 = 180 исходов

в) 1 белый+1 черный+2 красных. Это 6*5*С32 = 30* 3!/(2!*1!) = 30*3= 90 исходов.

Всего благоприятных исходов 225+180+90 = 495

Искомая вероятность Р=495/1001 = 0,494505... ≈ 0,49

4,5(62 оценок)
Это интересно:
Новые ответы от MOGZ: Математика
logo
Вход Регистрация
Что ты хочешь узнать?
Спроси Mozg
Открыть лучший ответ