М
Молодежь
К
Компьютеры-и-электроника
Д
Дом-и-сад
С
Стиль-и-уход-за-собой
П
Праздники-и-традиции
Т
Транспорт
П
Путешествия
С
Семейная-жизнь
Ф
Философия-и-религия
Б
Без категории
М
Мир-работы
Х
Хобби-и-рукоделие
И
Искусство-и-развлечения
В
Взаимоотношения
З
Здоровье
К
Кулинария-и-гостеприимство
Ф
Финансы-и-бизнес
П
Питомцы-и-животные
О
Образование
О
Образование-и-коммуникации
SOSISKA2281
SOSISKA2281
24.12.2021 06:17 •  Математика

Система (x+y)*lgx=(x-y)*lgy 2*lgx+3*lgy=0

👇
Ответ:
ilyaastafiev20
ilyaastafiev20
24.12.2021
(x+y)lgx = (x-y)lgy\\
2lgx+3lgy=0\\
\\

два уравнения системы можно преобразовать , используя свойства логарифма 
log_{a}(xy)=log_{a}x+log_{a}y\\
\\
 итд 
x*lgx+y*lgx=x*lgy - y*lgy\\
lgx^2+lgy^3=0\\
\\


получаем такое уравнение           
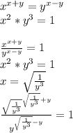
x^{x+y}=y^{x-y} \\ x^2*y^3=1\\ \\ \frac{x^{x+y}}{y^{x-y}}=1\\ x^2*y^3=1 \\ 
 x=\sqrt{\frac{1}{y^3}}\\
 \frac{\sqrt{\frac{1}{y^3}}^{\sqrt{\frac{1}{y^3}}+y}}{y^{\sqrt{\frac{1}{y^3}}-y}}=1\\ \\
 

с него очевидно что y=1 , так как нет других степеней что бы получился 1 
тогда x=1
4,8(100 оценок)
Открыть все ответы
Ответ:
Maks100000000
Maks100000000
24.12.2021

10-литровых выпускается x банок, тогда 3-литровых 4x, 1-литровых 8x. В 10-литровых банках 10x литров краски, в 3-литровых 3*4x = 12x литров, в 1-литровых 8x литров, всего 1920 литров, то есть

10x+12x+8x = 1920

30x = 1920

x = 64 банки по 10 л

4*64 = 256 банок по 3 л

8*64 = 512 банок по 1 л.

 

 

 

Площадь первого участка x га, второго (15-x) га. С первого собрали 120x кг картофеля, со второго 120(15-x) кг, что на 360 кг больше, чем с первого, то есть

120(15-x)-120x = 360

1800-120x-120x = 360

240x = 1440

x = 6 га - площадь первого участка

15-6 = 9 га - площадь второго участка.

4,8(1 оценок)
Ответ:
ольга2224
ольга2224
24.12.2021
Дана система ур-ний
x−2y=2x−2y=2
2x−5y=12x−5y=1

Из 1-го ур-ния выразим x
x−2y=2x−2y=2
Перенесем слагаемое с переменной y из левой части в правую со сменой знака
x−2y+2y=−−1⋅2y+2x−2y+2y=−−1⋅2y+2
x=2y+2x=2y+2
Подставим найденное x в 2-е ур-ние
2x−5y=12x−5y=1
Получим:
−5y+2(2y+2)=1−5y+2(2y+2)=1
−y+4=1−y+4=1
Перенесем свободное слагаемое 4 из левой части в правую со сменой знака
−y=−3−y=−3
−y=−3−y=−3
Разделим обе части ур-ния на множитель при y
−1y−1=3−1y−1=3
y=3y=3
Т.к.
x=2y+2x=2y+2
то
x=2+2⋅3x=2+2⋅3
x=8x=8

ответ:
x=8x=8
y=3
4,5(20 оценок)
Это интересно:
Новые ответы от MOGZ: Математика
logo
Вход Регистрация
Что ты хочешь узнать?
Спроси Mozg
Открыть лучший ответ