(x;у)=(4;-2)
Пошаговое объяснение:
Я не знаю яке тобі потрібно рішення, зроблю cпособ підстановки.
Cпособ підстановки:
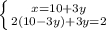
1. Щоб вирішити систему рівнянь підстановки, нам потрібно виразити одну змінну через іншу. У нашому випадку, це х. Щоб виразити х через у, нам потрібно -3у перенести до правої частини рівняння з протилежним знаком. Вийшло х=10+3у. Після того як ми виразили х через у, ми підставимо в друге рівняння системи. Вийшло 2(10+3у)+3у=2.

2. Розв'яжемо друге рівняння з однією змінною, тобто знайдемо значення цієї змінної.

За правилом відомі і невідомі числа, 20 ми переносимо до правої частини рівняння з протилежним знаком

3. у ми знайшли. Тепер ми знаходимо х. Щоб знайти, ми підставляємо -2 в х=10+3у

Коли перед виразом стоїть знак +, ми без змін переписуємо число.


Відповідь: (4;-2).
14.
ВО=ОD, АО=ОС => ABCD- параллелограмм
=>ВС||AD - по свойству параллелограмма
=>AB||DC - по свойству параллелограмма
15.
пусть известный угол на прямой а - угол 1, известный угол на прямой b - угол 2, известный угол на прямой с - угол 3, а угол, вертикальный углу 2 - угол 4
угол 1 = углу 2- по условию => а||b
угол 2 = углу 3- по условию
угол 2 = углу 4 - они вертикальные
=> угол 4 = углу 3 => b||c
19.
угол ВАС= углу NMK - по условию =>АС||MK
AC=CB- по условию => АСВ-равнобедренный треугольник
=> угол САВ= углу СВА
MK=NK- по условию => MKN-равнобедренный треугольник
=> угол KMN= углу KNM
=> угол АВС= углу МNK => BC||NK
Периметр это сумма его трех сторон. переведем все единицы измерения в сантиметры.
1,25 м = 125 см; 4,3 дм = 43 см.
1) Чему равна длина второй стороны треугольника?
43 - 1 2/3 = 42 3/3 - 1 2/3 = 41 1/3 (cм)
2) Чему равна сумма первой и второй сторон треугольника?
43 + 41 1/3 = 84 1/3 (см)
3) Чему равна длина третьей стороны треугольника?
125 - 84 1/3 = 124 3/3 - 84 1/3 = 40 2/3 (см)
Чтобы перевести сантиметры в метры надо число сантиметров разделить на 100 (т.к. 1 м = 100 см)
40 2/3 : 100 = 122/3 : 100 = 122/300 (м) = 61/150 (м)
ответ. 61/150 м.
Пошаговое объяснение:
+
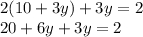
{2x+3y=2
3x=12
x=12/3
x=4
4-3y=10
-3y=10-4
-3y=6
y=6/(-3)
y=-2
(x;y)=(4;-2)