М
Молодежь
К
Компьютеры-и-электроника
Д
Дом-и-сад
С
Стиль-и-уход-за-собой
П
Праздники-и-традиции
Т
Транспорт
П
Путешествия
С
Семейная-жизнь
Ф
Философия-и-религия
Б
Без категории
М
Мир-работы
Х
Хобби-и-рукоделие
И
Искусство-и-развлечения
В
Взаимоотношения
З
Здоровье
К
Кулинария-и-гостеприимство
Ф
Финансы-и-бизнес
П
Питомцы-и-животные
О
Образование
О
Образование-и-коммуникации
Mariyzilia
Mariyzilia
28.12.2021 04:57 •  Математика

Можно ли найти значение выражения sin2a+sin2b+sin2c если известны площадь треугольникка авс и радиус описанного круга?

👇
Ответ:
emmka1
emmka1
28.12.2021
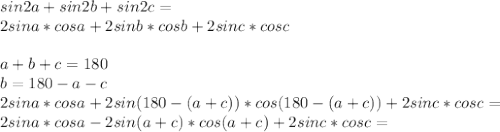
Преобразуем   
sin2a+sin2b+sin2c=\\
2sina*cosa+2sinb*cosb+2sinc*cosc\\\\
a+b+c=180\\
b=180-a-c\\
2sina*cosa+2sin(180-(a+c))*cos(180-(a+c))+2sinc*cosc=\\
2sina*cosa-2sin(a+c)*cos(a+c)+2sinc*cosc=\\

 преобразовывая получаем 
4sina*sinc*sin(a+c)\\
a+c=180-b\\
4sina*sinc*sinb\\
sin2a+sin2b+sin2c=4sina*sinb*sinc
а так как площадь треугольника вычисляется по формуле 
S=2R^2*sina*sinb*sinc\\
sina*sinb*sinc=\frac{S}{2R^2}\\
sin2a+sin2b+sin2c=\frac{4S}{2R^2}
4,4(45 оценок)
Открыть все ответы
Ответ:
aselja228
aselja228
28.12.2021
После изгнания из рая Адам и Ева по­селились к востоку от Эдема. Здесь нача­лась суровая и безрадостная жизнь пер­вых людей. Вскоре у них родился сын, которого назвали Каином, затем вто­рой — Авель. Много надежд возлагали родители на детей, но, увы, их мечтам не суждено было осуществиться. Рождение сыновей стало лишь началом новых страданий и горя.

Каин рос грубым и непослушным мальчиком. Авель, напротив, был кро­ток и добр. Каин обрабатывал землю, а Авель пас стада овец. Однажды братья решили преподнести дары Богу. Каин принёс в жертву плоды земли, самоуве­ренно считая, что этим он заслужит Бо­жью милость. Авель же, искренно мо­лясь, смиренно преподнёс лучшую овечку из своего стада. Дар Авеля Бог радушно принял, а приношение Каина отверг. 

Каин затаил обиду на брата, стал ждать подходяще­го случая, чтобы отомстить. Однажды ему удалось за­манить Авеля в поле и убить, совершив невиданное доселе злодеяние. Кровь первого умершего человека обагрила землю... Содеянное не смутило Каина, не вы­звало в нём раскаяния. Напротив, на вопрос Бога: «Где брат твой Авель?» он дерзко ответил: «Не знаю, разве я сторож брату моему?» Господь наказал Каина за грех, сделав его вечным изгнанником и скитальцем на Земле.
4,5(92 оценок)
Ответ:
nog2018
nog2018
28.12.2021
В Нагорной проповеди ясно и вразумительно, с применением наглядных примеров из жизни, рассказано о том, как человеку надлежит жить, как строить свои отношения с Богом и ближними, чтобы достигнуть счастья на земле и вечного блаженства.В Нагорной проповеди Иисус Христос рассказал о том, что человеку не надо заботиться о благах земных, то есть не надо собирать сокровища земные, но надо заботиться о том, что приводит к жизни вечной через собирание сокровищ небесных рассказал о том, что все люди перед Богом равны, так как являются сынами Отца Небесного и что не богатство и родовитость войти в Царство Небесное, а любовь к Богу, выражающаяся в исполнении Его законов через добрые дела, и любовь к ближним. А ближними являются не только друзья из своей нации, но и все люди, даже враги, которых надо любить, благословлять проклинающих вас, благотворить ненавидящих вас, молиться за обижающих и гонителей. Нужно побеждать зло добром, идти узким путем через тесные врата ко И всё это нужно делать для того, чтобы быть сынами Отца Небесного.Своей Нагорной проповедью научил людей, как надлежит жить праведно, указал на путь жизни, ведущий ко и вечному блаженству. Изложил морально-нравственные и философско–религиозные основы Своего учения. С тех давних дней до нашего времени Нагорная проповедь благотворно влияет на сознание людей, открывает перед человеком дорогу к Богу, рассказывает о праведном образе жизни, положительно воздействует на поступки и общественные взаимоотношения людей, и политическое устройство общества. Она благотворно влияет на формирование духовного облика человека и на его религиозно-философское развитие, указывая людям путь к всестороннему совершенству, к улучшению не только отдельной личности, но и мировой цивилизации.
4,5(88 оценок)
Это интересно:
Новые ответы от MOGZ: Математика
logo
Вход Регистрация
Что ты хочешь узнать?
Спроси Mozg
Открыть лучший ответ