М
Молодежь
К
Компьютеры-и-электроника
Д
Дом-и-сад
С
Стиль-и-уход-за-собой
П
Праздники-и-традиции
Т
Транспорт
П
Путешествия
С
Семейная-жизнь
Ф
Философия-и-религия
Б
Без категории
М
Мир-работы
Х
Хобби-и-рукоделие
И
Искусство-и-развлечения
В
Взаимоотношения
З
Здоровье
К
Кулинария-и-гостеприимство
Ф
Финансы-и-бизнес
П
Питомцы-и-животные
О
Образование
О
Образование-и-коммуникации

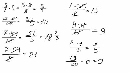
3/8*2 целых= 5/18*12 целых= 7/15*40 целых= 7/8*24 целых= 1/2*30 целых= 9/11*11 целых= 2\3*1 целых = 19/20*0 целых=

👇
Ответ:
00svetochka00
00svetochka00
29.08.2021
Получится вот так :)
3/8*2 целых= 5/18*12 целых= 7/15*40 целых= 7/8*24 целых= 1/2*30 целых= 9/11*11 целых= 2\3*1 целых =
4,8(33 оценок)
Ответ:
HeavenSent
HeavenSent
29.08.2021
3/4; 10/3; 56/3; 21; 15; 9; 2/3; 0
4,8(49 оценок)
Открыть все ответы
Ответ:
Bekarys2002
Bekarys2002
29.08.2021
Я могу придумать несколько задачек.
1) Коля и его 2 друга купили 15 яблок. Он должен был дать каждому другу поровну яблок. Сколько яблок получит Коля, его друзья?
   2+1=3 человека
   15:3=5 яблок каждому.
2) На площадке играли 6 детей. 3 мальчика и 3 девочки. Пришли 5 девочек и 6 мальчиков. Ушли 2 девочки и 3 мальчика. Сколько детей осталось на площадке? Сколько девочек и сколько мальчиков?
   3+5=8 девочек стало
   3+6= 9 мальчиков стало
   8-2=6 девочек осталось играть
   9-3= 6 мальчиков осталось
   6+6=12 детей осталось на площадке.
3) (4+4)*2=?
     4+4=8
     8*2=16
4,6(4 оценок)
Ответ:
Asel272727
Asel272727
29.08.2021
1)400+f:80=600                                 2)500*х-600=400
f:80=600-400                                      500*х=600+400
f:80=200                                            500*х=1000
f=200*80                                            х=1000:500
f=16000                                             х=2
Проверка:                                         Проверка:
400+16000:80=400+200=600              500*2-600=1000-600=400.
3)1300-(b+800)=400                           4)600*20-n=60
 b+800=1300-400                                 12000-n=60
 b+800=900                                         n=12000-60
b=900-800                                           n=11940
b=100                                                 Проверка:
Проверка:                                           600*20-11940=12000-11940=60.
1300-(100+800)=1300-900=400         
5)(600-500):у=20                               6)d:(1300-800)=4
100:у=20                                            d:500=4
у=100:20                                            d=4*500                                                  у=5                                                    d=2000
Проверка:                                          Проверка:
                                                         2000:(1300-800)=2000:500=4
(600-500):5=100:5=20
4,5(85 оценок)
Новые ответы от MOGZ: Математика
logo
Вход Регистрация
Что ты хочешь узнать?
Спроси Mozg
Открыть лучший ответ