М
Молодежь
К
Компьютеры-и-электроника
Д
Дом-и-сад
С
Стиль-и-уход-за-собой
П
Праздники-и-традиции
Т
Транспорт
П
Путешествия
С
Семейная-жизнь
Ф
Философия-и-религия
Б
Без категории
М
Мир-работы
Х
Хобби-и-рукоделие
И
Искусство-и-развлечения
В
Взаимоотношения
З
Здоровье
К
Кулинария-и-гостеприимство
Ф
Финансы-и-бизнес
П
Питомцы-и-животные
О
Образование
О
Образование-и-коммуникации
LunaLovegood28
LunaLovegood28
14.03.2021 23:22 •  Математика

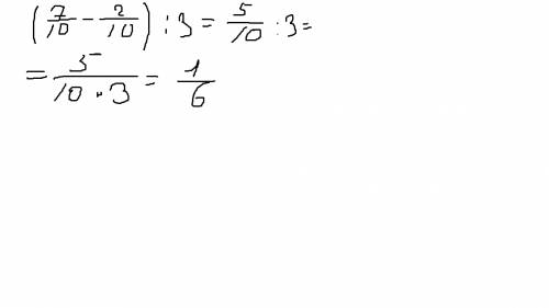
Тема: умножение и делание обыкновенной дроби на натуральное число. я не могу решить вот этот пример: ( 7/10-1/5) : 3

👇
Ответ:
Получилось вот так :)
Тема: умножение и делание обыкновенной дроби на натуральное число. я не могу решить вот этот пример:
4,4(36 оценок)
Открыть все ответы
Ответ:
soloveyandrey3
soloveyandrey3
14.03.2021
Тааак ну смотри сторона первого квадрата 2 см так как у него 4 стороны: периметр 8 делим на 4 = 2, периметр второго квадрата это 8 * 3 тоесть 24 а если 24 : 4 то будет 6.   отвечаем на первый вопрос  ВО сколько раз сторона первого квадрата меньше второго 6 : 2 = 3 в 3 раза. на второй вопрос про площадь что бы найти площадь нужно длинну умножить на ширину  тут и длинна и ширина равна площадь первого квадрата 2 * 2 = 4 площадь второго 6 * 6 = 36 36 делим на 4 равно 9.пишем так: 1)8:4=2(см)-сторона первого квадрата.2)8*3=24(см)-периметр второго квадрата.3)6:2=3(раза)4)2*2=4(см в квадрате) (над см пиши маленькую двоечку)-площадь 1-ого квадрата5)6*6=36(см в квадрате)-площадь 2-ого квадрата6)36:4=9(раз)           ответ:сторона первого квадрата в 3 раза меньше второго, площадь второго квадрата в 9 раз бальше площади первого
4,6(19 оценок)
Ответ:
daniilf02mail
daniilf02mail
14.03.2021
Таких примеров из жизни людей можно привести много. Солдаты во время боевых действий могут терпеть сильные голод и жажду, страдать от жары или холода, но не покидать своих постов и не отступать.

Люди искусства могут жить впроголодь и в холодном доме, но создавать замечательные картины и великолепные романы.

Ради знаний некоторые исследователи годами живут в не самых лучших условиях и переживают разные трудности, но по частицам получают важную информацию о каком-нибудь не исследованном виде животных.
4,6(65 оценок)
Это интересно:
logo
Вход Регистрация
Что ты хочешь узнать?
Спроси Mozg
Открыть лучший ответ