М
Молодежь
К
Компьютеры-и-электроника
Д
Дом-и-сад
С
Стиль-и-уход-за-собой
П
Праздники-и-традиции
Т
Транспорт
П
Путешествия
С
Семейная-жизнь
Ф
Философия-и-религия
Б
Без категории
М
Мир-работы
Х
Хобби-и-рукоделие
И
Искусство-и-развлечения
В
Взаимоотношения
З
Здоровье
К
Кулинария-и-гостеприимство
Ф
Финансы-и-бизнес
П
Питомцы-и-животные
О
Образование
О
Образование-и-коммуникации

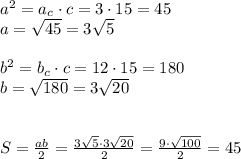
Впрямоугольном треугольнике высота,проведенная к гипотенузе ,делит ее на отрезки 3 см и 12 см .найдите площадь этого треугольника.​

👇
Ответ:
ZNTV5
ZNTV5
23.03.2021

a^2=a_c \cdot c = 3\cdot 15 =45\\a = \sqrt{45} = 3 \sqrt{5}\\\\b^2= b_c \cdot c = 12 \cdot 15 = 180\\b = \sqrt{180} = 3 \sqrt{20}\\\\\\S=\frac {ab}{2} = \frac { 3 \sqrt{5} \cdot 3 \sqrt{20}}{2} = \frac {9 \cdot \sqrt{100}}{2} = 45a^2 = a_c * c = 3*15 = 45

a = 3 sqrt 5

b^2 = b_c * c = 12*15 = 180

b = 3 sqrt 20

S = ab/2 = 3*3*sqrt(5)*sqrt(20) / 2 = 3*3*sqrt(100) / 2 = 45

4,4(79 оценок)
Открыть все ответы
Ответ:
Can4ez73
Can4ez73
23.03.2021
Скорость 1-го-260 м/мин
скорость 2-го- ? м/мин
Расстояние-15 км=15 000 м
 время-30 мин

1) 260х30=7800 м
2)15 000-7800=7200 м
3)7200:30=240 м/мин- скорость второго

 Два велосепедиста отправились из одного посёлка одновременно в противоположных направлениях. Через 30 минут расстояние между ними стало 15 км.Средняя скорость одного из них 240 м/мин. Узнай среднюю скорость другого велосепедиста?

 скорость 1-го-240 м/мин
скорость 2-го-? м/мин
Время 30 мин
расстояние-15 км=15 000м

1)30х240=7200 м
2)15000-7200=7800 м
3)7800:30=260 м/мин 

4,8(90 оценок)
Ответ:
artem20051105
artem20051105
23.03.2021
Мне кажется, прав Саша. Скорее всего, но не однозначно, Петя ещё ребёнок , и Змей у него вышел не очень хорошо. Володя, возможно, новый друг в кругу общения Пеьи, и поэтому хвалит всё, что Петя делает, что бы лучше подружиться. Саша же, старый друг, и он говорит Пете правду, потому что переживает за товарища, и хочет ему добра.
Петя , обдумав эти высказывания, обидится на Сашу, ненадолго, потом поймёт, что тот был прав, а Володю поблагодарит , конечно, почему бы и нет: - )
Я бы, сразу поблагодарил всех сразу, ибо надо быть добрым. Добра в нашем мире мало ;-)
4,5(32 оценок)
Это интересно:
Новые ответы от MOGZ: Математика
logo
Вход Регистрация
Что ты хочешь узнать?
Спроси Mozg
Открыть лучший ответ