

Журнал
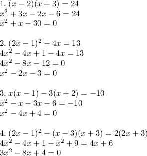
Стикеры ВК
Подготовка к ЕГЭ
Задать во Войти
АнонимМатематика13 апреля 02:40
Выберите ту пару чисел, которая является решением уравнения: 3х – 2у = 4 А) ( -2; 1 ) В) ( -2; -5 ) С) ( 3; 0 )
В записи координаты точки на первом месте записана абсцисса х, на втором месте - ордината у. N(x; y). Чтобы проверить является ли пара чисел решением уравнения, надо значения х и у подставить в уравнение 3х – 2у = 4 и проверить его правильность.
А) (- 2; 1); x = - 2; y = 1;
3 * (- 2) - 2 * 1 = 4;
- 6 - 2 = 4;
- 8 = 4 - не верное равенство, значит данная пара чисел не является решением данного уравнения.
В) (- 2; - 5); x = - 2; y = - 5;
3 * (- 2) - 2 * (- 5) = 4;
- 6 + 10 = 4;
4 = 4 - равенство верное, значит эта пара чисел является решением данного уравнения.
С) (3; 0); x = 3; y = 0;
3 * 3 - 2 * 0 = 4;
9 - 0 = 4;
9 = 4 - не верно, значит пара чисел не является решением уравнения.
Д) (2; 5); x = 2; y = 5;
3 * 2 - 4 * 5 = 4;
6 - 20 = 4;
- 14 = 4 - не верно, пара чисел не является решением.
Правильное решение под буквой В.
ответ. В.
Решите уравнение 9x-7=6x+14Решите уравнение 9x-7=6x+14Решите уравнение 9x-7=6x+14Решите уравнение 9x-7=6x+14Решите уравнение 9x-7=6x+14Решите уравнение 9x-7=6x+14Решите уравнение 9x-7=6x+14Решите уравнение 9x-7=6x+14Решите уравнение 9x-7=6x+14Решите уравнение 9x-7=6x+14Решите уравнение 9x-7=6x+14Решите уравнение 9x-7=6x+14Решите уравнение 9x-7=6x+14Решите уравнение 9x-7=6x+14Решите уравнение 9x-7=6x+14Решите уравнение 9x-7=6x+14Решите уравнение 9x-7=6x+14Решите уравнение 9x-7=6x+14Решите уравнение 9x-7=6x+14Решите уравнение 9x-7=6x+14Решите уравнение 9x-7=6x+14Решите уравнение 9x-7=6x+14Решите уравнение 9x-7=6x+14Решите уравнение 9x-7=6x+14Решите уравнение 9x-7=6x+14Решите уравнение 9x-7=6x+14Решите уравнение 9x-7=6x+14Решите уравнение 9x-7=6x+14Решите уравнение 9x-7=6x+14Решите уравнение 9x-7=6x+14Решите уравнение 9x-7=6x+14Решите уравнение 9x-7=6x+14Решите уравнение 9x-7=6x+14Решите уравнение 9x-7=6x+14Решите уравнение 9x-7=6x+14Решите уравнение 9x-7=6x+14Решите уравнение 9x-7=6x+14Решите уравнение 9x-7=6x+14Решите уравнение 9x-7=6x+14Решите уравнение 9x-7=6x+14Решите уравнение 9x-7=6x+14Решите уравнение 9x-7=6x+14Решите уравнение 9x-7=6x+14Решите уравнение 9x-7=6x+14Решите уравнение 9x-7=6x+14Решите уравнение 9x-7=6x+14Решите уравнение 9x-7=6x+14Решите уравнение 9x-7=6x+14Решите уравнение 9x-7=6x+14Решите уравнение 9x-7=6x+14Решите уравнение 9x-7=6x+14Решите уравнение 9x-7=6x+14Решите уравнение 9x-7=6x+14Решите уравнение 9x-7=6x+14Решите уравнение 9x-7=6x+14Решите уравнение 9x-7=6x+14Решите уравнение 9x-7=6x+14Решите уравнение 9x-7=6x+14Решите уравнение 9x-7=6x+14Решите уравнение 9x-7=6x+14Решите уравнение 9x-7=6x+14Решите уравнение 9x-7=6x+14Решите уравнение 9x-7=6x+14Решите уравнение 9x-7=6x+14Решите уравнение 9x-7=6x+14Решите уравнение 9x-7=6x+14Решите уравнение 9x-7=6x+14Решите уравнение 9x-7=6x+14Решите уравнение 9x-7=6x+14Решите уравнение 9x-7=6x+14Решите уравнение 9x-7=6x+14Решите уравнение 9x-7=6x+14Решите уравнение 9x-7=6x+14Решите уравнение 9x-7=6x+14Решите уравнение 9x-7=6x+14Решите уравнение 9x-7=6x+14Решите уравнение 9x-7=6x+14Решите уравнение 9x-7=6x+14Решите уравнение 9x-7=6x+14Решите уравнение 9x-7=6x+14Решите уравнение 9x-7=6x+14Решите уравнение 9x-7=6x+14Решите уравнение 9x-7=6x+14Решите уравнение 9x-7=6x+14Решите уравнение 9x-7=6x+14