М
Молодежь
К
Компьютеры-и-электроника
Д
Дом-и-сад
С
Стиль-и-уход-за-собой
П
Праздники-и-традиции
Т
Транспорт
П
Путешествия
С
Семейная-жизнь
Ф
Философия-и-религия
Б
Без категории
М
Мир-работы
Х
Хобби-и-рукоделие
И
Искусство-и-развлечения
В
Взаимоотношения
З
Здоровье
К
Кулинария-и-гостеприимство
Ф
Финансы-и-бизнес
П
Питомцы-и-животные
О
Образование
О
Образование-и-коммуникации
lediyulia04
lediyulia04
24.09.2021 03:27 •  Математика

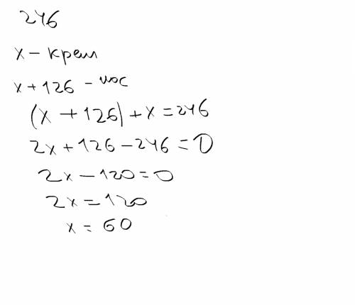
Внаборе крем и набор стоит 246 руб.. лосьон дороже крема на 162 руб стоит крем

👇
Ответ:
borovitskii2014
borovitskii2014
24.09.2021
246+162=408(крем) вродебо так
4,4(6 оценок)
Ответ:
elenskaya3105
elenskaya3105
24.09.2021
Если весь набор 246, то...
Внаборе крем и набор стоит 246 руб.. лосьон дороже крема на 162 руб стоит крем
4,8(62 оценок)
Открыть все ответы
Ответ:
ivan58888siko
ivan58888siko
24.09.2021

89

Пошаговое объяснение:

Ну логически, деду наверняка не меньше 50, и тр, слишком молодой выходит. Предположим, что от 60, будем рассматривать в качестве «цифры десятков» 6, 7, 8, и 9.

Цифру единиц надо будет возвести в квадрат, при этом квадрат этот должен получится довольно солидным, то есть смысла рассматривать 1, которая в кваадрате та же единица, 2 (2*2=4) нет, потрму что ни 4, ни 9, ни 16, ни 25, ни 36 в сумме ни с одной из цифр десятков солидное число не дадут.

Значит, деду может быть 67—69, 77-79, 87-89, 97-99.

6+7"=6+49=54

Впринципе, 7 в качестве цифры единиц тоже можно вычеркивать, маловато будет, и с 70 и с 80, и тем более, с 90 будет «недолет».

У нас остаются 68,69,78,79,88,89,98,99.

6+8"=6+64=70.нет значит с 69 тоже будет «перелет».

7+8"= 7+64=71 нет

7+9"=7+81=88 . В принципе можно было и раньше понять,что 9, возведенную в квадрат (81) , раньше, чем на 80с чем то «доставать» не надо.

8+8"=8+64=72

8+9"=8+81=89. Оно!

4,4(86 оценок)
Ответ:
abeke4
abeke4
24.09.2021

89 лет

89 = 8+9^2.

Пошаговое объяснение:

Предположим, что цифра, стоящая в разряде десятков, равна а, а цифра, стоящая в разряде единиц, равна b, тогда по условию возраст дедушки х = 10а + b и х = а + b^2.

Составим уравнение:

10а + b = a + b^2

9a = b^2 - b

9a = b(b-1)

b-1 и b - два последовательных натуральных числа (b=0 и b=1 обратили в нуль цифру а, а это противоречит условию), тогда одно из этих чисел чётное и само произведение 9а чётное, делаем вывод о чётности цифры а.

Наибольшая возможная цифра b=9, тогда

9а = 9•8 = 72

а = 8

возраст дедушки 89 лет.

Остальные варианты

(9а = 8•7, 9а = 7•6, 9а = 6•5, 9а=5•4, 9а=4•3, 9а=3•2, 9а=2•1) не дадут в правой части числа, кратного 9.

4,7(86 оценок)
Это интересно:
Новые ответы от MOGZ: Математика
logo
Вход Регистрация
Что ты хочешь узнать?
Спроси Mozg
Открыть лучший ответ