М
Молодежь
К
Компьютеры-и-электроника
Д
Дом-и-сад
С
Стиль-и-уход-за-собой
П
Праздники-и-традиции
Т
Транспорт
П
Путешествия
С
Семейная-жизнь
Ф
Философия-и-религия
Б
Без категории
М
Мир-работы
Х
Хобби-и-рукоделие
И
Искусство-и-развлечения
В
Взаимоотношения
З
Здоровье
К
Кулинария-и-гостеприимство
Ф
Финансы-и-бизнес
П
Питомцы-и-животные
О
Образование
О
Образование-и-коммуникации
maxmaxibon11
maxmaxibon11
19.07.2021 23:21 •  Математика

Объем комнаты равен 120 см^3. определить объем другой комнаты если ее ширина в полтора раза больше ширины первой, а длинна в три раза меньше.​

👇
Ответ:
IvIeIrIoInIiIkIa
IvIeIrIoInIiIkIa
19.07.2021

60

Пошаговое объяснение:

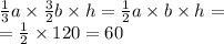
a*b*h - объём первой комнаты, где а - длина, b - ширина, h - высота.

Тогда объём второй комнаты:

\frac{1}{3} a \times \frac{3}{2}b \times h = \frac{1}{2} a \times b \times h = \\ = \frac{1}{2} \times 120 = 60

4,7(40 оценок)
Открыть все ответы
Ответ:
ankka1600
ankka1600
19.07.2021
Уход за кожей у У каждого разные поэтому мы не можем делать точных выводов как правильно ухаживать за кожей но при этом мы можем дать общие рекомендации. Тем самым умываться с утра и вечером это очень важно делать маски на лицо ну как маски смотря в от возраста. Если кожа сушиться мазать её кремом чаще детский можно кремом дав зависит от выбора каждого. Также не советуют выдавливать прыщи угри в домашних условиях, То дело рук специалистов. Сломан палец поэтому диктовала микрофону, Ошибочки сама поправишь
4,5(68 оценок)
Ответ:
mtoropchin
mtoropchin
19.07.2021
Какие металлы используются в быту, для производства каких изделий они применяются, в чём их преимущество по сравнению с другими материалами, а главное, могли бы мы обойтись без них. Чаще всего металлы можно встретить на нашей кухне. Тут можно увидеть широкий спектр различных видов металлический изделий. Это и ложки из алюминия, и чаны из чугуна, и кастрюли из современной стали, а также другие многочисленные предметы домашней утвари. И если раньше для их производства чаще всего использовался металл одного вида, то сегодня можно встретить различные комбинации металлов. Такой подход в производстве обусловлен тем, что при сплавке нескольких видов металлов предмет сочетает в себе их лучшие качества, становясь тем самым лучше и надёжнее.
4 Первым металлом, котор
4,6(52 оценок)
Это интересно:
Новые ответы от MOGZ: Математика
logo
Вход Регистрация
Что ты хочешь узнать?
Спроси Mozg
Открыть лучший ответ