М
Молодежь
К
Компьютеры-и-электроника
Д
Дом-и-сад
С
Стиль-и-уход-за-собой
П
Праздники-и-традиции
Т
Транспорт
П
Путешествия
С
Семейная-жизнь
Ф
Философия-и-религия
Б
Без категории
М
Мир-работы
Х
Хобби-и-рукоделие
И
Искусство-и-развлечения
В
Взаимоотношения
З
Здоровье
К
Кулинария-и-гостеприимство
Ф
Финансы-и-бизнес
П
Питомцы-и-животные
О
Образование
О
Образование-и-коммуникации
Нашли
Нашли
27.07.2021 08:23 •  Математика

Решите уравнение: а) 5,2 х - 7 = 6; б) 4 + 5х = 10. решите : два автомобиля едут навстречу друг другу со скоростями 60 км \ ч и 85 км \ час. какое расстояние между ними будет за 1 час до встречи? а через 0,5 ч после встречи? розв'яжіть рівняння: а) 5,2х - 7 = 6; б)4 + 5х =10 .розв'яжіть : два автомобілі їдуть назустріч один одному зі швидкостями 60 км\год і 85 км\год. яка відстань між ними буде за 1 год до зустрічі? а через 0,5 год після зустрічі?

👇
Ответ:
jsjdnnx
jsjdnnx
27.07.2021
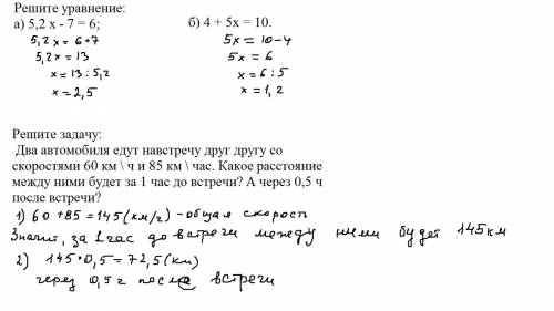
А) 5,2 х - 7 = 6; 
5,2х = 6 + 7
5,2х = 13
х = 13 : 5,2
х = 2,5
5,2 * 2,5 - 7 = 6
13 - 7 = 6
6=6
б) 4 + 5х = 10. 
5х = 10 - 4
5х = 6
х = 6: 5
х = 1,2
4 + 5 * 1,2 = 10
4 + 6 = 10
10 = 10
2) Ну тогда только так 60+85 = 145 км/ч скорость сближения * 1 час = 145 км будет через 1 час, 145 км * 0,5 = 72,5 км после 
4,8(32 оценок)
Ответ:
Если понравилось решение - нажимай " " и "лучший" (рядом с кнопкой " ") :)
Решите уравнение: а) 5,2 х - 7 = 6; б) 4 + 5х = 10. решите : два автомобиля едут навстречу друг друг
4,7(52 оценок)
Открыть все ответы
Ответ:
dimidom56
dimidom56
27.07.2021

Номер √1

a)7/9+4/6=14/18+12/18=26/18=13/9=1,4/9

b)5/7-8/10=50/70-56/70=-6/70=-3/35

c)1/2+(3/7-0,45)=1/2+(300/700-315/700)=1/2+(-15/700)=1/2+(-3/140)=70/140+(-3/140)=67/140

Номер √2

Сначала мы должны привести их к общему знаменателю :

4/7 и 7/12 из общий знаменатель 84

первая доска 48/84 метра а вторая доска 49/84 .Значит вторая доска длинее на 1/84 метра

Номер√3

а) x=5/4-1/3=15/12-4/12=11/12

b)x=5/18+1/7=35/126+18/126=53/126

Номер √6

то же самое делаем как во втором задаче 3/8=6/16 + 2/16=16/16-8/16=8/16=1/2

ответ:они работали 1/2 время

4,4(65 оценок)
Ответ:
DomenicAn
DomenicAn
27.07.2021
1)Скоростью и интенсивностью окисления.
2)При горении выделяется большой объем энергии.
|/ак идёт горение в примусе и керосинке. Наиболее яр - ким примером химических реакций, идущих при уча­стии кислорода воздуха, является горение — тот процесс, с которого мы получаем тепло и свет. Какое быТопливо мы ни сжигали — уголь или дрова, керосин или бензии, спирт или светильный газ — главная химическая реакция при горении их одна и та же: углерод и водород, входящие в состав молекул топлива, соединяются с кис­лородом воздуха и образуют углекислоту и воду. Общеиз­вестно, что керосинка даёт жёлтое, светящее пламя, а при­мус — голубое или фиолетовое, почти не светящее пламя. В обоих случаях топливо одно и то же — керосин. По­чему же это происходит?Керосин — это смесь различных углеводородов, соеди­нений углерода с водородом. Для примера возьмём один из углеводородов керосина — нонан, имеющий состав СуНго. При горении нонан соединяется с кислородом и об­разуются углекислота и вода. Начальное и конечное со­стояния этого процесса можно изобразить химическим уравнением:С9Н20 + 1402 — 9 С02 + 10 Н20 (пар) + теплота,Написав такое уравнение, мы допустили, что углеводород сгорает полностью. Это и происходит в исправном примусе. В примусе керосин поступает в горелку под давлением. Испаряясь в нагретой горелке й вырываясь сильной струёй через форсунку, керосин хорошо перемешивается с воз­духом. Смесь получается настолько богатой кислородом, что керосин сгорает полностью. Кроме того, пары керо­сина, проходя через раскалённую часть горелки, не только нагреваются, но и химически изменяются: сложные моле­кулы углеводородов при температуре 400—500 градусов распадаются на более простые, сгорающие легче. Этот распад обычно сопровождается выделением небольшого количества твёрдого углерода — кокса; кокс постепенно засоряет горелку, поэтому время от времени её нужно «прожигать».Мы знаем, что керосинка всегда даёт копоть или сажу, то-есть очень мелкие частицы угля. Значит, в керосинке идёт неполное сгорание керосина. Керосин испаряется с поверхности фитиля и только тут смешивается с возду­хом. Количество воздуха внутри пламени оказывается не­достаточным. Поэтому и образуются мельчайшие раска­лённые частички угля, от которых ярко светится пламя.Почему дрова и каменный уголь, сгорая, дают пламя, а древесный уголь горит без пламени? Различные виды твёрдого топлива сгорают по-разному: дрова и каменныйУголь образуют при горении пламя, а древесный уголь пламени не даёт. Какова же разница между ними?Древесная масса и каменный уголь — смеси сложных веществ, богатых углеродом. Они содержат также кисло­род и водород. При нагревании дров и каменного угля сложные вещества расщепляются на более простые и в то же время более летучие вещества. Эти вещества, сго­рая, и образуют пламя. Дрова дают большее пламя, чем каменный уголь: они образуют больше летучих веществ.Древесный же уголь получают неполным сожжением дерева. Хороший древесный уголь — это почти чистый уг­лерод; к нему примешаны только минеральные - вещества, дающие после сгорания золу. Поэтому древесный уголь не образует летучих продуктов и горит без пламени.Все жидкие вещества и горючие газы, разлагающиеся при высокой температуре с выделением летучих продук­тов, при горении образуют пламя. Твёрдые вещества, не давать летучие продукты разложения, горят без пламени. При неполном горении всегда образуется дым, состоящий из твёрдых частичек несгоревшего угля и газообразных продуктов горения — окиси углерода, уг­лекислоты, водяных паров.Почему керосиновая лампа коптит, а рано закрытая печка даёт угар. Мы можем управлять химическими реакциями, заставлять их протекать нужным нам обра­зом. Примеры этому легко найти в нашем быту.Керосиновая лампа стала коптить. Ясно, что если вы­деляется копоть, горение идёт не полно. Мы убавили фи­тиль — копоть перестала образовываться. Почему? По­тому, что мы изменили условия горения. Убавив фитиль, мы уменьшили скорость испарения керосина. Количество же поступающего в лампу воздуха осталось прежним. Поэтому горение стало более полным.А почему рано закрытая печь даёт угар? — Потому, что нарушается режим горения и вместо одной реакции идёт другая. При недостатке воздуха, поступающего в печь, горение идёт не до конца: вместо углекислоты, СО2, обра­зуется окись углерода или, как её иначе называют, угар­ный газ СО. Угарный газ невидим, так как, в отличие от дыма, он не содержит твёрдых частиц. Он очень ядовит.Окись углерода образуется и при открытой трубе, но так как приток кислорода в печь достаточный, она сгорает и образует углекислоту, уходящую в трубу
(рис. 7, А). При закрытой же трубе продукты горения вы­ходят через печную дверцу в помещение. Если в печи осталось слишком много раскаленного угля, то притока воздуха хватает только на образование окиси углерода и в комнате появляется угар (рис. 7, £).Рис. 7. А нормальное горение при открытой трубе; Б — образование угар­ного газа при большом количестве угля и закрытой трубе.
4,5(43 оценок)
Это интересно:
Новые ответы от MOGZ: Математика
logo
Вход Регистрация
Что ты хочешь узнать?
Спроси Mozg
Открыть лучший ответ