М
Молодежь
К
Компьютеры-и-электроника
Д
Дом-и-сад
С
Стиль-и-уход-за-собой
П
Праздники-и-традиции
Т
Транспорт
П
Путешествия
С
Семейная-жизнь
Ф
Философия-и-религия
Б
Без категории
М
Мир-работы
Х
Хобби-и-рукоделие
И
Искусство-и-развлечения
В
Взаимоотношения
З
Здоровье
К
Кулинария-и-гостеприимство
Ф
Финансы-и-бизнес
П
Питомцы-и-животные
О
Образование
О
Образование-и-коммуникации
koliskynakate20
koliskynakate20
19.12.2020 09:40 •  Математика

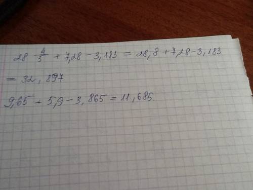
Запишите обыкновенную дробь в виде десятичной .вычеслите 1) 28 4/5+7,28-3,183 2)9,65+5 9/10-3,865

👇
Ответ:
Noziks4
Noziks4
19.12.2020
Решение на фото......
Запишите обыкновенную дробь в виде десятичной .вычеслите 1) 28 4/5+7,28-3,183 2)9,65+5 9/10-3,865
4,8(19 оценок)
Открыть все ответы
Ответ:
Манdarinka
Манdarinka
19.12.2020
Делители числа 286: 1,2,11,13,22,26, 143,286. Значит, количество частей в наших числах должно равняться одному из перечисленных чисел. Нам подходит число 22. Первое число- 1 часть, второе число 3*1=3 части, третье число 3*3=9 частей, четвертое- 9 частей итого:1+3+9+9=22. (Если какое то число больше другого в 3 раза, то меньшее число 1 часть, а большее-3 части- вот откуда части) 286:22=13- приходится на 1 часть, значит, это и есть наше меньшее число. Можно и алгебраическим х+3х+9х+9х= 286. Х=13. Проверка: 13+13*3+13*3*3+13*3*3=13+39+117+117=286. Все сходится. ответ: 13 меньшее число.
4,4(93 оценок)
Ответ:
died267
died267
19.12.2020
Делители числа 286: 1,2,11,13,22,26, 143,286. Значит, количество частей в наших числах должно равняться одному из перечисленных чисел. Нам подходит число 22. Первое число- 1 часть, второе число 3*1=3 части, третье число 3*3=9 частей, четвертое- 9 частей итого:1+3+9+9=22. (Если какое то число больше другого в 3 раза, то меньшее число 1 часть, а большее-3 части- вот откуда части) 286:22=13- приходится на 1 часть, значит, это и есть наше меньшее число. Можно и алгебраическим х+3х+9х+9х= 286. Х=13. Проверка: 13+13*3+13*3*3+13*3*3=13+39+117+117=286. Все сходится. ответ: 13 меньшее число.
4,8(98 оценок)
Это интересно:
Новые ответы от MOGZ: Математика
logo
Вход Регистрация
Что ты хочешь узнать?
Спроси Mozg
Открыть лучший ответ