М
Молодежь
К
Компьютеры-и-электроника
Д
Дом-и-сад
С
Стиль-и-уход-за-собой
П
Праздники-и-традиции
Т
Транспорт
П
Путешествия
С
Семейная-жизнь
Ф
Философия-и-религия
Б
Без категории
М
Мир-работы
Х
Хобби-и-рукоделие
И
Искусство-и-развлечения
В
Взаимоотношения
З
Здоровье
К
Кулинария-и-гостеприимство
Ф
Финансы-и-бизнес
П
Питомцы-и-животные
О
Образование
О
Образование-и-коммуникации
ekaterinaparsh1
ekaterinaparsh1
29.05.2023 14:48 •  Математика

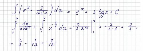
Решите интегралы a) неопределенный интеграл (фото) б) определенный интеграл (фото)

👇
Ответ:
AlexxxM1
AlexxxM1
29.05.2023

Пошаговое объяснение:

У меня получились такие интегралы. Первый просто по очереди интегрируем, второй я расписал через степень икса и проинтегрировал по формуле


Решите интегралы a) неопределенный интеграл (фото) б) определенный интеграл (фото)
4,7(9 оценок)
Открыть все ответы
Ответ:
LadyAmfetamin
LadyAmfetamin
29.05.2023
ответ:    

192 числа.

Решение:

Первая цифра нашего пятизначного числа может быть любой из 2, 4, 6, 8 - всего 4 варианта (она должна быть четной, но и одновременно не равняться нулю).

Вторая цифра - любая четная, не использованная раннее. Таких должно быть тоже 4. Четвертая цифра - любая из 3 оставшихся четных.

А вот для третьей цифры нашего числа есть 2 варианта: она либо 3, либо 5 (по условию). Для пятой цифры выбор не больше: тоже 2 значения.

Итого (перемножаем все полученные значения):

4 · 4 · 3 · 2 · 2 = 192

Задача решена!

4,5(67 оценок)
Ответ:
AnnyMay2629
AnnyMay2629
29.05.2023
ответ:    

192 числа.

Решение:

Первая цифра нашего пятизначного числа может быть любой из 2, 4, 6, 8 - всего 4 варианта (она должна быть четной, но и одновременно не равняться нулю).

Вторая цифра - любая четная, не использованная раннее. Таких должно быть тоже 4. Четвертая цифра - любая из 3 оставшихся четных.

А вот для третьей цифры нашего числа есть 2 варианта: она либо 3, либо 5 (по условию). Для пятой цифры выбор не больше: тоже 2 значения.

Итого (перемножаем все полученные значения):

4 · 4 · 3 · 2 · 2 = 192

Задача решена!

4,5(54 оценок)
Это интересно:
Новые ответы от MOGZ: Математика
logo
Вход Регистрация
Что ты хочешь узнать?
Спроси Mozg
Открыть лучший ответ