М
Молодежь
К
Компьютеры-и-электроника
Д
Дом-и-сад
С
Стиль-и-уход-за-собой
П
Праздники-и-традиции
Т
Транспорт
П
Путешествия
С
Семейная-жизнь
Ф
Философия-и-религия
Б
Без категории
М
Мир-работы
Х
Хобби-и-рукоделие
И
Искусство-и-развлечения
В
Взаимоотношения
З
Здоровье
К
Кулинария-и-гостеприимство
Ф
Финансы-и-бизнес
П
Питомцы-и-животные
О
Образование
О
Образование-и-коммуникации
androp4ik1
androp4ik1
27.02.2023 21:59 •  Математика

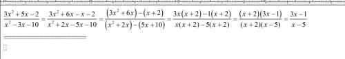
Cокращение дроби: 3x^2+5x-2/x^2-3x-10 (полностью пропишите ход решения и решите)

👇
Ответ:
on82
on82
27.02.2023
==========================================
Cокращение дроби: 3x^2+5x-2/x^2-3x-10 (полностью пропишите ход решения и решите)
4,6(11 оценок)
Открыть все ответы
Ответ:
2,3,4(Книги) =42 р 
1,3,4(книги) = 40 руб 
1,2,4(книги) = 38 руб 
1,2,3(книги) = 36 руб. 
Так видно, что каждая книга повторяется три раза. Значит если мы купим три 1 книги, три 2 книги, три 3 книги и три 4 книги, то нам надо заплатить 42+40+38+36=156 руб. Чтобы узнать сколько стоит один комплект книг 156:3=52 руб. 
Теперь смотрим, если все четыре книги стоят 52 руб, а без первой 42 руб, значит 1 книга стоит 52-42=10 руб. 
Если все 4 книги стоят 52 руб, а без 2 книги 40 руб., значит 2 книга стоит 52-40=12 руб 
Если все 4 книги стоят 52 руб, а без 3 книги 38 руб., значит 3 книга стоит 52-38=14 руб 
Если все 4 книги стоят 52 руб, а без 4 книги 36 руб., значит 4 книга стоит 52-36=16 руб
вроде так понятно:)
4,5(98 оценок)
Ответ:
romamarunp016li
romamarunp016li
27.02.2023
2,3,4 =42 руб
1,3,4 = 40 руб
1,2,4 = 38 руб
1,2,3 = 36 руб.
видно, что каждая книга повторяется три раза. Значит если мы купим три 1 книги, три 2 книги, три 3 книги и три 4 книги, то нам надо заплатить 42+40+38+36=156 руб. Чтобы узнать сколько стоит один комплект книг 156:3=52 руб.
Теперь , если все четыре книги стоят 52 руб, а без первой 42 руб, значит 1 книга стоит 52-42=10 руб.
Если все 4 книги стоят 52 руб, а без 2 книги 40 руб., значит 2 книга стоит 52-40=12 руб
Если все 4 книги стоят 52 руб, а без 3 книги 38 руб., значит 3 книга стоит 52-38=14 руб
Если все 4 книги стоят 52 руб, а без 4 книги 36 руб., значит 4 книга стоит 52-36=16 руб
4,5(27 оценок)
Это интересно:
Новые ответы от MOGZ: Математика
logo
Вход Регистрация
Что ты хочешь узнать?
Спроси Mozg
Открыть лучший ответ