М
Молодежь
К
Компьютеры-и-электроника
Д
Дом-и-сад
С
Стиль-и-уход-за-собой
П
Праздники-и-традиции
Т
Транспорт
П
Путешествия
С
Семейная-жизнь
Ф
Философия-и-религия
Б
Без категории
М
Мир-работы
Х
Хобби-и-рукоделие
И
Искусство-и-развлечения
В
Взаимоотношения
З
Здоровье
К
Кулинария-и-гостеприимство
Ф
Финансы-и-бизнес
П
Питомцы-и-животные
О
Образование
О
Образование-и-коммуникации
Люциферин
Люциферин
15.04.2020 15:36 •  Математика

Знайдіть похідну функції у = cos 3х sin x та обчисліть її значення, якщо x = π

👇
Ответ:
nnursejt
nnursejt
15.04.2020
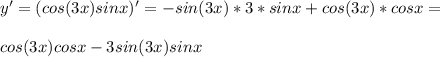
y=cos(3x)sinx
y'=(cos(3x)sin x)'=-sin(3x)*3*sin x+cos(3x)*cosx=\\\\cos(3x)cosx-3sin(3x)sinx
y'(\pi)=cos(3\pi)cos(\pi)-3*sin(3\pi)*sin \pi=-1*(-1)-3*0*0=1
4,5(58 оценок)
Открыть все ответы
Ответ:
abdullah94
abdullah94
15.04.2020
1) 2680+y+170=4800                                      2) 8500-y-900=6200
y=2680+170                                                        y=8500-900
y=2850                                                                y=7600
y=4800-2850                                                       y=7600-6200
y=1950                                                                 y=1400
ответ: y=1950                                                    ответ: y=1400
Проверка: 2680+1950+170=4800                     Проверка: 8500-1400-900=6200
4,5(59 оценок)
Ответ:
sonyafeldman
sonyafeldman
15.04.2020
Всего книг          - 35 кн.                         +4 кн.
Прочитанных       - ?,           + 5 кн.       , в 2 раза больше, чем 
Непрочитанных    - ?             -5 кн.           +4 кн.
1)35+4 =39 книг стало после 23.09.15 всего.
2) Пусть х кн. - непрочитанных на 23.09.15 , то  2*х - прочитанных. Зная, что всего книг 39 , составим уравнение:
х+2*х=39
3х=39
х=39:3
х= 13 - книг  непрочитанных на 23.09.15
3) 2* 13= 26  - книг  прочитанных на 23.09.15
4) 26-5 = 21 - книга прочитана на нач. 2015
ответ: 21 книгу Артур прочитал на начало 2015 г.
4,8(84 оценок)
Это интересно:
Новые ответы от MOGZ: Математика
logo
Вход Регистрация
Что ты хочешь узнать?
Спроси Mozg
Открыть лучший ответ