М
Молодежь
К
Компьютеры-и-электроника
Д
Дом-и-сад
С
Стиль-и-уход-за-собой
П
Праздники-и-традиции
Т
Транспорт
П
Путешествия
С
Семейная-жизнь
Ф
Философия-и-религия
Б
Без категории
М
Мир-работы
Х
Хобби-и-рукоделие
И
Искусство-и-развлечения
В
Взаимоотношения
З
Здоровье
К
Кулинария-и-гостеприимство
Ф
Финансы-и-бизнес
П
Питомцы-и-животные
О
Образование
О
Образование-и-коммуникации
leyal
leyal
02.09.2021 01:00 •  Математика

Решите уравнение 13x+3.8 x- 0.03=2.01 с действиями

👇
Ответ:
kir28082000
kir28082000
02.09.2021
16.8x=2.04
x=~0.1
По идее так
4,5(7 оценок)
Ответ:
Суеверие
Суеверие
02.09.2021
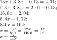
13x+3,8x-0,03=2,01;\\
(13+3,8)x=2,01+0,03;\\
16,8x=2,04;\\
8,4x=1,02;\\
840x=102;\\
x=\frac{102}{840}=\frac{17\cdot6}{140\cdot6}=\frac{17}{140};\\
x=\frac{17}{140};
4,5(88 оценок)
Открыть все ответы
Ответ:
Иa411
Иa411
02.09.2021

ответ:задача 5 Обозначим слона как a а его номер a1 . Значит у нас имеется слоны А1 А2 А3 А4 А5 а6 А7 а8 вес всех этих слонов равен А1+ А2+А3+А4+А5+А6+А7+ А8 РОВНО К

Пошаговое объяснение:А3 РОВНО А1 +А2

А4 =А2+ А1 +А2

А5 = 3А2+2А1

А6= 5А2+3А1

А7= 8А2+5А1

А8 =13А2+8А1

Откуда

А1+А2+А3+А4+А5+А6+А7+А8=33А2+21А1

После чего делим их на три кучки в Кучке С будут слоны А7,А5,А6 , в Кучке В будут слоны А3, А4, А8 . Можно заметить что слон А3 равен маме слонов А1 +А2. Поэтому можно сначала взвесить кучки А и В а потом в Кучке В заменить слона А3 на слонов А1 + А2. И при этом если кучки равны значит никто не похудел а если какая то меньше значит там какой-то слон похудел.

Задача 1 на окружности можно построить 98 треугольников а число 1000 не делится на 98 значит такого не могло быть

Пошаговое объяснение:

4,8(18 оценок)
Ответ:
KOBPAHET
KOBPAHET
02.09.2021

ответ:задача 5 Обозначим слона как a а его номер a1 . Значит у нас имеется слоны А1 А2 А3 А4 А5 а6 А7 а8 вес всех этих слонов равен А1+ А2+А3+А4+А5+А6+А7+ А8 РОВНО К

Пошаговое объяснение:А3 РОВНО А1 +А2

А4 =А2+ А1 +А2

А5 = 3А2+2А1

А6= 5А2+3А1

А7= 8А2+5А1

А8 =13А2+8А1

Откуда

А1+А2+А3+А4+А5+А6+А7+А8=33А2+21А1

После чего делим их на три кучки в Кучке С будут слоны А7,А5,А6 , в Кучке В будут слоны А3, А4, А8 . Можно заметить что слон А3 равен маме слонов А1 +А2. Поэтому можно сначала взвесить кучки А и В а потом в Кучке В заменить слона А3 на слонов А1 + А2. И при этом если кучки равны значит никто не похудел а если какая то меньше значит там какой-то слон похудел.

Задача 1 на окружности можно построить 98 треугольников а число 1000 не делится на 98 значит такого не могло быть

Пошаговое объяснение:

4,6(61 оценок)
Это интересно:
Новые ответы от MOGZ: Математика
logo
Вход Регистрация
Что ты хочешь узнать?
Спроси Mozg
Открыть лучший ответ