М
Молодежь
К
Компьютеры-и-электроника
Д
Дом-и-сад
С
Стиль-и-уход-за-собой
П
Праздники-и-традиции
Т
Транспорт
П
Путешествия
С
Семейная-жизнь
Ф
Философия-и-религия
Б
Без категории
М
Мир-работы
Х
Хобби-и-рукоделие
И
Искусство-и-развлечения
В
Взаимоотношения
З
Здоровье
К
Кулинария-и-гостеприимство
Ф
Финансы-и-бизнес
П
Питомцы-и-животные
О
Образование
О
Образование-и-коммуникации

Найдите корни уравнения (х+8) в квадрате = (х+3) в квадрате. в ответе запишите сумму квадратов корней

👇
Ответ:
leijlalirva
leijlalirva
05.11.2021
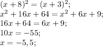
(x+8)^2=(x+3)^2;\\
x^2+16x+64=x^2+6x+9;\\
16x+64=6x+9;\\
10x=-55;\\
x=-5,5;\\

4,7(45 оценок)
Открыть все ответы
Ответ:
05Goryanka05
05Goryanka05
05.11.2021
1)Сначала считаем в см:10*2000000=20000000 См (на местности)
Теперь в км:20000000:100000=200 км
2)Переводим в см:40*100*1000=4000000 см
Теперь в масштаб:4000000:1000000=4 см
3)Переводим в см:150*1000*100=15000000 см
Теперь масштаб:15000000:3=5000000
Масштаб равен 1:5000000
4)3.2:1.6=2(коэффициент)
2.8*2=5.6 см
5)Sучастка=12*10*100000=12000000 см^2
1 гектар=10000 м^2
Переводим см в м: 12000000:100=120000м^2
Считаем сколько гектаров на участке: 120000:10000=12 Га
Зерно:12*0.24=2.88 Т
6)Реальная длинна детали=12*3=36 см
Длинна на чертеже (1:4)=36:4=9 см 
8)25.2:4.2=6(коэффициент чертежа)
Значит длинна ручки=6*1.5=9 см 
4,4(52 оценок)
Ответ:
fghtgxbvdrzra
fghtgxbvdrzra
05.11.2021
Минеральные вещества выполняют в нашем организме многообразные функции. В качестве структурных элементов они входят в состав костей, содержатся во многих ферментах, катализирующих обмен веществ в организме. Минеральные вещества обнаружены в гормонах (например, йод в составе гормонов щитовидной
     Общеизвестна роль железа, входящего в состав гемоглобина крови. При его участии происходит транспортировка кислорода. Минеральные вещества активизируют некоторые процессы, участвуют в регуляции кислотно-щелочного равновесия в крови и других органах. Натрий и калий принимают участие в транспортировке различных веществ в клетку, обеспечивая этим ее функционирование. Важную роль выполняют минеральные вещества (калий, кальций, натрий и магний) в регуляции функции сердечной и скелетных мышц.
     Достаточно высокое и постоянное содержание в биологических жидкостях солей, в первую очередь солей калия и натрия сохранению в клетке воды, что важно для ее нормального функционирования и сохранения формы.
     Потребность организма в различных минеральных веществах колеблется в широких пределах. Наиболее высока потребность в натрии. Часть этого элемента поступает с продуктами: поваренной соли в суточной норме хлеба для здоровых мужчин содержится 3,5 г и 3-5 г добавляется в пищу при ее приготовлении. Таким образом, за сутки потребляется 10-15 г поваренной соли. Этого количества вполне достаточно для обеспечения потребности организма в натрии. Обычно хлористого натрия (поваренной соли) потребляется больше, чем необходимо. Соль добавляют в целях возбуждения аппетита, широко исполь-
зуются продукты, консервированные с добавлением соли. Повышенное потребление поваренной соли нежелательно, так как это приводит к возникновению жажды, повышению водопотребления и задержке воды в организме. Систематический избыток в рационе поваренной соли, как показали научные исследования повышению частоты возникновения гипертонической болезни.
  
4,5(35 оценок)
Это интересно:
Новые ответы от MOGZ: Математика
logo
Вход Регистрация
Что ты хочешь узнать?
Спроси Mozg
Открыть лучший ответ