1. 15
2. 45
Пошаговое объяснение:
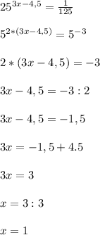
1. Поскольку в условии задачи сказано, что трактористы (и первый, и второй) вспахали такую-то часть от всей земли, чтобы узнать, сколько га вспахал третий, мы можем сложить части вспаханной земли каждого тракториста. Это можно делать, чтобы найти то, чего не хватает, то есть часть третьего тракториста, только если в условии сказано, что рабочие вспахали часть от всей земли. Если же условие звучит, как в третьей задаче, нужно действовать иначе. Это очень важно.
1) Складываю части вспаханной земли первого и второго тр-та., получаю 20/21.
Если бы трактористы были одним человеком, это было бы частью от всей земли, которую он вспахал.
Чтобы найти, сколько вспахал третий, нужно вычесть из целого - у дробей целое - единица - эту дробь.
2) ответ 1/21.
3) Нужно узнать, сколько в га вспахал третий тракторист. У нас есть дробь, показывающая, сколько от всей земли он вспахал - одну двадцать первую часть.
Великая истина - чтобы найти дробь ОТ числа, нужно умножить число на дробь (или наоборот, дробь на число, ведь это - умножение, и от смены мест множителей ничего не меняется),
а чтобы найти какую часть от числа СОСТАВЛЯЕТ дробь, нужно (внимание! именно число на дробь, не наоборот) разделитьчисло на дробь. Так же иногда используется формулировка, пример: "число ЭТО такая-то часть".
Таким образом, ОТ = всегда умножение, "СОСТАВЛЯЕТ", "ЭТО" = всегда деление числа на часть (дробь).
3) Умножаем, раз нам нужно найти дробь ОТ числа.
ответ: 15 га.
2. Во второй день в этой задаче продали 7/15 от того, ЧТО ОСТАЛОСЬ В ПЕРВЫЙ ДЕНЬ. То есть, остаток в первый день становится целым для второго дня. Поэтому мы не можем просто сложить данные условием дроби, вычесть это из единицы и найти в килограммах сколько продано в третий день.
1) Считаем, сколько продано в первый день в кг. Умножаем дробь на число.
2) Очень важно! Находим остаток масла после первого дня, вычитая из целого проданное. 120 - 45.
3) В условии написано так: "за второй [день продано] 7/15 остатка." Находим 7/15 от остатка в 75 кг.
4) Теперь в килограммах находим, сколько продано в третий день.
ответ: 45
