М
Молодежь
К
Компьютеры-и-электроника
Д
Дом-и-сад
С
Стиль-и-уход-за-собой
П
Праздники-и-традиции
Т
Транспорт
П
Путешествия
С
Семейная-жизнь
Ф
Философия-и-религия
Б
Без категории
М
Мир-работы
Х
Хобби-и-рукоделие
И
Искусство-и-развлечения
В
Взаимоотношения
З
Здоровье
К
Кулинария-и-гостеприимство
Ф
Финансы-и-бизнес
П
Питомцы-и-животные
О
Образование
О
Образование-и-коммуникации
Rostik559
Rostik559
18.05.2021 23:23 •  Математика

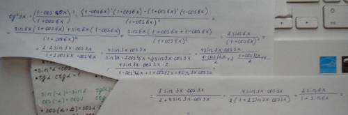
Tg^2 3x производная я понимаю вот начало решения 2tg3x*1/cos^2 3x а вот почему в конце 6tg3x/cos^2 3x откуда 6? )

👇
Ответ:
лала123451
лала123451
18.05.2021
Решение прикреплено файлом!
Tg^2 3x производная я понимаю вот начало решения 2tg3x*1/cos^2 3x а вот почему в конце 6tg3x/cos^2 3
4,7(60 оценок)
Открыть все ответы
Ответ:
orton1999
orton1999
18.05.2021
1. 2/3(6,9c 1 1/2d) - 4,8(5/8c - 2,5d) =
= 2/3 * 69/10c - 2/3 * 3/2d - 48/10 * 5/8c + 48/10 * 25/10d =
= 23/5c - d  - 3c + 12d = 4,6c - 3c + 11d = 1,6c + 11d

2. 0,4(x - 9) - 0,3(x + 2) = 0,7
0,4x - 3,6 - 0,3x - 0,6 = 0,7
0,1x = 0,7 + 4,2
0,1x = 4,9
x = 49

3. Пусть х будет стоимость 1 кг арбуза, тогда
4,2х + 5,4(х + 0,2) = 3,96
4,2х + 5,4х + 1,08 = 3,96
9,6х = 3,96 - 1,08
9,6х = 2,88
х = 0,3 тыс. руб. стоит 1 кг арбуза
х + 0,2 = 0,5 тыс. руб. стоит 1 кг дыни.

4. - n > n;
n < - n;
2n<0;
n<0.
При отрицательных n
4,8(3 оценок)
Ответ:
fil3853tima
fil3853tima
18.05.2021
1. 2/3(6,9c 1 1/2d) - 4,8(5/8c - 2,5d) =
= 2/3 * 69/10c - 2/3 * 3/2d - 48/10 * 5/8c + 48/10 * 25/10d =
= 23/5c - d  - 3c + 12d = 4,6c - 3c + 11d = 1,6c + 11d

2. 0,4(x - 9) - 0,3(x + 2) = 0,7
0,4x - 3,6 - 0,3x - 0,6 = 0,7
0,1x = 0,7 + 4,2
0,1x = 4,9
x = 49

3. Пусть х будет стоимость 1 кг арбуза, тогда
4,2х + 5,4(х + 0,2) = 3,96
4,2х + 5,4х + 1,08 = 3,96
9,6х = 3,96 - 1,08
9,6х = 2,88
х = 0,3 тыс. руб. стоит 1 кг арбуза
х + 0,2 = 0,5 тыс. руб. стоит 1 кг дыни.

4. - n > n;
n < - n;
2n<0;
n<0.
При отрицательных n
4,5(50 оценок)
Новые ответы от MOGZ: Математика
logo
Вход Регистрация
Что ты хочешь узнать?
Спроси Mozg
Открыть лучший ответ