( - 14; - 33), ( 2; - 1).
Пошаговое объяснение:

Решим квадратное уравнение:
Если x= - 14, то y = 2*(-14)-5= -28 - 5 = - 33;
Если x=2, то y=2*2-5= 4 - 5 = - 1.
y=e⁻²ˣ+e²ˣ-2·x³-3·x
Пошаговое объяснение:
Дано линейное уравнение и начальные условия:
y''-4·y=8·x³, y(0)=2, y'(0)=-3
1) Сначала решаем линейное однородное уравнение
y''-4·y=0
Для этого составим и решим характеристическое уравнение:
λ²-4=0 ⇔ (λ+2)(λ-2)=0 ⇔ λ₁ = -2, λ₂ = 2
Получены два различных действительных корня, поэтому общее решение однородного уравнения:
y=C₁·e⁻²ˣ+C₂·e²ˣ
2) Теперь найдём частное решение y₁ неоднородного уравнения
y''-4·y=8·x³
Так как правая часть уравнения многочлен 8·x³, то будем искать в виде
y₁=A·x³+B·x²+C·x+D
Найдём первую и вторую производную:
y₁'=(A·x³+B·x²+C·x+D)=3·A·x²+2·B·x+C
y₁''=(3·A·x²+2·B·x+C)'=6·A·x+2·B
Подставим y₁ и y₁'' в левую часть неоднородного уравнения:
6·A·x+2·B-4·(A·x³+B·x²+C·x+D)=8·x³
Раскрываем скобки и упростим:
-4·A·x³-4·B·x²+(6·A-4·C)·x+2·B-4·D=8·x³
Приравниваем коэффициенты при соответствующих степенях и составим систему линейных уравнений и решаем:
-4·A=8 ⇒ A = -2
-4·B=0 ⇒ B = 0
6·A-4·C=0 ⇒ 4·C = 6·A ⇒ 4·C = 6·(-2) ⇒ 4·C = -12 ⇒ C = -3
2·B-4·D=0 ⇒ 4·D=2·B ⇒ 4·D=2·0 ⇒ D = 0
Получили частное решение
y₁= -2·x³-3·x
3) Тогда получим следующее общее решение
y=C₁·e⁻²ˣ+C₂·e²ˣ-2·x³-3·x
4) Применим начальные условия:
y(0)=C₁·e⁰+C₂·e⁰-2·0³-3·0=2 ⇒ C₁+C₂=2
y'=(C₁·e⁻²ˣ+C₂·e²ˣ-2·x³-3·x)'= -2·C₁·e⁻²ˣ+2·C₁·e²ˣ - 6·x²-3
y'(0)= -2·C₁·e⁰+2·C₂·e⁰ - 6·0²-3 = -3 ⇒ -2·C₁+2·C₂ - 3=-3 ⇒ C₁ -C₂ =0 ⇒ C₁=C₂
Получили систему линейных уравнений и решаем:
C₁ = C₂ =1
C₁ + C₂ =2 ⇒ C₂ + C₂ =2 ⇒ 2· C₂ =2 ⇒ C₂ =1
5) Подставляя C₁ и C₂ в общее решение получим
y=e⁻²ˣ+e²ˣ-2·x³-3·x
Пошаговое объяснение:
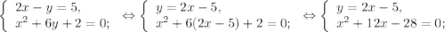
2х-у= 5
х²+6у+2=0
Из первого уравнения найдем у и подставим во второе уравнение
у=2х-5
х²+6*(2х-5)+2=0
х²+12х-30+2=0
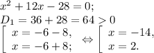
х²+12х-28=0
D= 12²-4*(-28)=144+112=256
x₁,₂= (-b±√D)/2a
x₁=(-12+√256)/2=(-12+16)/2=2
x₂=(-12-√256)/2=(-12-16)/2=-14
Найдем у
у₁=2*2-5=-1
у₂=2*(-14)-5=-28-5=-33
Корни уравнения
х₁= 2 , у₁=-1
х₂=-14, у₂= -33