М
Молодежь
К
Компьютеры-и-электроника
Д
Дом-и-сад
С
Стиль-и-уход-за-собой
П
Праздники-и-традиции
Т
Транспорт
П
Путешествия
С
Семейная-жизнь
Ф
Философия-и-религия
Б
Без категории
М
Мир-работы
Х
Хобби-и-рукоделие
И
Искусство-и-развлечения
В
Взаимоотношения
З
Здоровье
К
Кулинария-и-гостеприимство
Ф
Финансы-и-бизнес
П
Питомцы-и-животные
О
Образование
О
Образование-и-коммуникации
сссссср222
сссссср222
24.08.2022 23:51 •  Математика

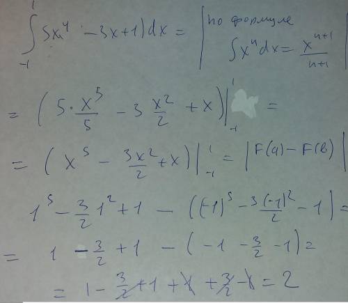
Вычислите определенные интегралы решите если можно подробно.

👇
Ответ:
Your1sad1waifu
Your1sad1waifu
24.08.2022

Пошаговое объяснение:


Вычислите определенные интегралы решите если можно подробно.
4,7(88 оценок)
Открыть все ответы
Ответ:
amina24569
amina24569
24.08.2022

Правило сложения: Пусть объект А мы можем выбрать из множества , а объект В можно выбрать , то объект «А+В» можно выбрать .

Возможно, это правило покажется непосвященному человеку абракадаброй, но ничего сложного нет. Рассмотрим пример – пусть в одном ящике есть m шариков, а во втором ящике – n шариков. Сколькими можно вытащить шарик из одного этих ящиков. Очевидно, что ОДИН шарик можно достать .

Правило умножения: Пусть объект А выбирается , объект В выбирается , то оба объекта можно выбрать .

Все очень просто – каждый из выбора объекта А комбинируется с каждым из выбора объекта В, то есть количество просто умножается друг на друга

4,5(78 оценок)
Ответ:
eeee1931
eeee1931
24.08.2022

1. а)-10,3 б)11/24 в)-1/2 или -0,5 г)2,22

2. фото

3.а)-4 б)-7

4.7,2 км

5.2,8

6.30 холодильников отправили в детские сады

7. на 1 полке было 20 книг, на второй полке было 80 книг

Пошаговое объяснение:

1.

а)-7,4-2,9=-10,3

б)-3/8+5/6=-9/24+20/24=11/24

в)-1 1/7: 2 2/7=-8/7:16/7= -1/2 или -0,5

г)-3,7* (-0,6) =+2,22

3.

а)4х+12=3х+8

4х-3х=8-12

х=-4

б)0,4 (х-3)=0,5 (4+х)-2,5

0,4х-1,2=2+0,5х-2,5

0,4х-0,5х=2-2,5+1,2

-0,1х=0,7

х= -7

4.

масштаб 1:200 000 это в 1 см карты - 2000 м или 2 км.

3,6*2=7,2 км - расстояние между селами.

5.

2 2/3: 3 1/3=х/3,5

х=8/3*35/10:10/3

х=(8*35*3)/(3*10*10)

х=14/5 или 2,8

6.

1)2/3 от 150 холодильников это 150:3*2=100 холодильников отправлено в больницы.

2)150-100 =50 холодильников осталось.

3)50*60/100 =30 холодильников отправлены в детские сады.

7.

Возьмем за х- количество книг на 1 полке

Тогда 4х- книг на 2 полке.

Составим равенство:

х+35=4х-25

4х-х=35+25

3х=60

х=20

20 книг было на 1 полке и 20*4=80 книг было на 2 полке.

Проверим:

На первую полку поставили еще 35 книг: 20+35=55 (стало книг на 1 полке)

Со второй полки убрали 25 книг: 80-25=55 (стало книг на 2 полке)

55=55

*****


Выполните действия: 2.Постройте треугольник МКР, если М(-3;5), К(3;0), Р(0;-5). 3 Решите уравнение:
4,6(94 оценок)
Это интересно:
Новые ответы от MOGZ: Математика
logo
Вход Регистрация
Что ты хочешь узнать?
Спроси Mozg
Открыть лучший ответ